ASCO热评丨朱正飞教授:精准治疗时代开启,阿得贝利单抗联合化疗序贯胸部放疗一线治疗ES-SCLC疗效令人鼓舞

作者:肿瘤瞭望   日期:2024/7/3 10:58:09  浏览量:8585

肿瘤瞭望版权所有,谢绝任何形式转载,侵犯版权者必予法律追究。

近期,在ASCO大会的口头报告环节,由山东省肿瘤医院于金明院士团队主导的Ⅱ期研究,深入探索了阿得贝利单抗联合化疗后序贯胸部放疗一线治疗广泛期小细胞肺癌(ES-SCLC)的可行性。为了从放射学角度深入理解这一研究,我们特邀复旦大学附属肿瘤医院朱正飞教授进行解读。

编者按:近期,在ASCO大会的口头报告环节,由山东省肿瘤医院于金明院士团队主导的Ⅱ期研究,深入探索了阿得贝利单抗联合化疗后序贯胸部放疗一线治疗广泛期小细胞肺癌(ES-SCLC)的可行性。为了从放射学角度深入理解这一研究,我们特邀复旦大学附属肿瘤医院朱正飞教授进行解读。
 
01
肿瘤瞭望:由山东省肿瘤医院于金明院士团队牵头开展的阿得贝利单抗联合化疗序贯胸部放疗一线治疗ES-SCLC的II期研究,再次亮相2024 ASCO大会口头报告;该研究出色的研究结果证实了ES-SCLC化免时代加入胸部放疗可以进一步延长患者生存,请您谈谈本项研究的特色之处以及该项研究的成功对SCLC诊疗的影响?

朱正飞教授:小细胞肺癌(SCLC)约占所有肺癌的15%,可分为局限期小细胞肺癌(LS-SCLC)和ES-SCLC两类,经过半个多世纪的深入研究与临床实践,SCLC治疗领域尚未取得突破性进展。事实上,自上世纪80年代起,依托泊苷联合铂类药物(顺铂和卡铂)就已经成为SCLC的标准一线化疗方法。随着免疫治疗的出现,免疫联合化疗已成为ES-SCLC的一线标准治疗方案。同步放化疗是局限期小细胞肺癌的标准治疗方案。目前推荐的放疗剂量方式既可以采用加速超分割放疗(每次1.5 Gy,每日2次,总计45 Gy,疗程持续3周),也可以选择常规分割方式的相对高剂量(60 Gy~70 Gy)。
 
近年来,随着免疫药物飞速发展,SCLC的治疗取得了长足的进步,特别是ES-SCLC。早期具有“里程碑”意义的IMpower133和CASPIAN研究,确立了PD-L1抑制剂在ES-SCLC一线治疗中的重要地位。然而,值得注意的是,尽管这些治疗方案在患者中显示出一定的疗效,但无进展生存期(PFS)普遍在5个月~6个月之间,而中位总生存期(OS)也仅略高于一年(IMpower133和CASPIAN研究的中位OS在12个月~13个月之间)。紧随其后国内PD-L1/PD-1抑制剂的上市,把中国ES-SCLC患者中位总生存期(mOS)带到了15个月以上,但仍未能突破20个月的瓶颈。
 
在此背景下,如何进一步提高ES-SCLC的治疗效果成为我们当前面临的关键挑战。回顾免疫治疗时代之前,英国一项研究曾探索了在接受单纯化疗后且病情未进展的ES-SCLC患者中加入胸部巩固性放射治疗的效果。该研究采用的放疗剂量相对较低,为30Gy/10f,但结果显示化疗联合胸部放疗可显著提高患者的生存率,两年总生存率从3%提升到了13%。这一发现为我们提供了新的治疗思路,值得在后续研究中进一步探讨。
 
在今年的ASCO大会上,于院士公布的关于阿得贝利单抗联合化疗序贯胸部放疗一线治疗ES-SCLC的Ⅱ期研究就是在上述背景下设计(图1)。
 
图1.研究设计
 
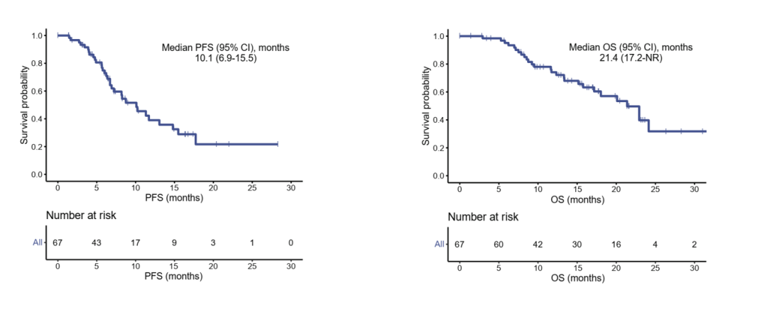
该研究初步结果显示,ES-SCLC免疫治疗加入胸部放疗可使患者无论短期疗效(mPFS)还是长期疗效(mOS)都有显著的获益,mOS长达21.4个月,mPFS长达10.1个月(图2),刷新了免疫药物一线治疗ES-SCLC的生存纪录。此外,在ORR,DCR方面也获得了优异的结果。值得特别关注的是,该治疗方案在安全性方面也表现出色,≥3级肺炎的发生率仅为6%,这为患者提供了更好的治疗耐受性。
 
图2.从诱导治疗起ITT人群的PFS和OS
 
此研究还进一步探讨了不同放疗剂量对患者的影响。在该研究中,按放疗剂量将所有患者分为两组,一组接受高剂量TRT(≥50 Gy/25f),另一组接受低剂量TRT(≥30 Gy/10f)。结果显示不同放射剂量组的中位PFS没有显著性差异,提示放疗剂量的提升在ES-SCLC不一定能带来更好的生存结果。但我们同时看到随着放射剂量的增加,患者的毒性反应并没有明显的增加,这为未来更大规模的随机对照Ⅲ期临床研究提供了重要参考。
 
总之,据我所知,于院士这项研究是全球首个通过前瞻性临床研究的方法,探索阿得贝利单抗联合化疗序贯胸部放疗的联合治疗模式在ES-SCLC中应用的临床研究。目前取得的初步结果令人振奋,未来仍需通过更多、更大样本的随机对照临床研究来进一步验证其疗效和安全性。
 
02
肿瘤瞭望:放射治疗与免疫治疗有良好的协同作用,请您谈谈ES-SCLC免疫治疗时代下胸部放疗的地位和应用价值?

朱正飞教授:首先,在免疫治疗时代下,放射治疗和免疫治疗是并重的。免疫治疗作为全身性药物治疗手段,可与局部放射治疗形成互补。在当前提倡的多学科综合治疗中,全身与局部治疗并重是其主要原则之一。肿瘤具有异质性,同一种肿瘤,不同部位或阶段都可能呈现不同特性,对免疫治疗的反应也不尽相同。即便是应用同一种药物治疗,也可能出现有的肿瘤表现为退缩,而有的肿瘤就表现为进展,有的肿瘤甚至同时表现为进展和有效两种反应。因此,在免疫治疗时代,如果只泛泛地去除可能对部分病灶无效的全身治疗手段显然是不合适的。正如老师面对全班学生,若仅因少数学生成绩不佳而更换老师并非明智之举。同理,对于肿瘤治疗,当全身药物治疗在某些病灶上效果不佳时,我们可以通过局部放射治疗来加强,从而实现全身与局部治疗并重,更有效地应对肿瘤的挑战。
 
其次,随着免疫治疗在实体肿瘤治疗中的广泛应用,放疗联合免疫的协同作用日益凸显。这种协同作用体现在临床上具有明显的远端效应。放疗可导致体内肿瘤细胞死亡,其分解产物类似于给患者接种原位疫苗,能刺激患者体内产生效应性T细胞,从而增强免疫治疗的效果。但是肿瘤细胞非常狡猾,他可以进行相应的免疫逃逸和修饰,在这种情况下,放疗就不一定能完全消灭肿瘤细胞。因此,需要结合免疫治疗药物来削弱其逃逸能力。另外,放疗除了直接杀灭肿瘤外,还会在人体内产生一些针对肿瘤自身而言的危险信号。肿瘤细胞会利用这些信号进行自我“保护”,但联合免疫治疗就能够应对这种“保护”,产生相应的效应,杀死肿瘤细胞。
 
总之,放疗联合免疫治疗在多种实体肿瘤治疗中已展现出显著的1+1>2的生物学协同作用,这预示着两者结合将拥有更广阔的应用前景。相较于其他局部治疗手段如手术、冷冻、射频和消融,放疗在免疫治疗背景下的应用可能产生更好的生物学协同效果,这是其作为联合治疗手段的重要基础和优势。

03
肿瘤瞭望:临床工作中,放射免疫联合治疗的安全性是医生关注的关键因素。本次ASCO报道的阿得贝利单抗联合化疗序贯胸部放疗常见不良反应主要为化疗相关的血液学毒性(≥3级TRAE发生率58.2%,≥3级肺炎发生率仅6%),基于该项研究安全性数据,请您谈谈安全性更优的免疫检查点抑制剂在放射免疫联合治疗中的应用价值?

朱正飞教授:评价一个药物的好坏,我们主要关注其三大特性:首先,疗效显著;其次,毒性反应轻微;再者,从经济学角度考虑,患者负担得起。从整体选择方面来讲,我们看到PD-L1比PD-1在联合胸部放疗方面似乎更有优势。这是因为PD-1免疫检查点抑制剂可阻断T细胞表面的PD-1与免疫细胞表面的PD-L1、PD-L2结合,增加潜在自身免疫反应风险。加之PD-L2在人体正常呼吸生理功能中扮演重要角色,这一点在支气管哮喘和慢阻肺患者的研究中已得到证实。因此,从总体上讲,PD-L1抗体联合放疗可能更具优势,在局部晚期NSCLC的治疗中,Pacific研究也采用了PD-L1抗体。当然,目前尚缺乏PD-1和PD-L1抗体直接比较的数据,但已有研究表明,这两种抗体在联合胸部放射治疗时,对肺的保护性较强。
 
在选择PD-L1抗体时,我们需认识到并非所有PD-L1抗体都相同。与小分子TKI药物不同,抗体类药物的制作工艺更为复杂。比如此次研究中的阿得贝利单抗,不同于其他进口的PD-L1抑制剂,阿得贝利单抗选择了与FcγR结合能力较弱的IgG4抗体类型。IgG4型抗体本身无补体依赖的细胞毒性作用(CDC),同时阿得贝利单抗进一步通过Fc段234A/235A定点突变改造,进一步降低了和免疫效应细胞表面FcγR结合的能力,从而消除了抗体依赖的细胞介导的细胞毒性作用(ADCC)、抗体依赖的细胞介导的吞噬作用(ADCP),同时也降低了抗体依赖性细胞因子释放(ADCR)效应,抗体功能更加纯净。此外,阿得贝利单抗抗体Fab段采用S228P突变改造,避免lgG4抗体的Fab臂交换,抗体更加稳定。阿得贝利单抗的III期CAPSTONE-1研究试验组免疫相关不良反应(irAEs)发生率为27.8%,相较于对照组仅提升10.6%;各项≥3级的irAE发生率均不超过1.8%。在目前ES-SCLC领域已公布III期注册研究数据的免疫检查点抑制剂中,从irAEs数据来看,阿得贝利单抗也是更加优异。
 
在众多PD-L1抗体中,我们虽无法单纯断定哪一种在毒性反应上更具优势,但我们可以根据临床研究数据(比如发生肺炎的比例),尤其是前瞻性研究所提供的信息,来从众多PD-L1抗体中做出自己的选择。当然可能会有一些医生有自己的用药经验,但是我个人觉得我们还是要在前期的临床研究的基础上去选择相应的药物,同时又要在真实世界中不断的总结这些药物的毒性反应,只有这样我们才能做出最适合患者的选择。
 
04
肿瘤瞭望:免疫联合化疗已经成为ES-SCLC的标准一线治疗,请您谈谈在此基础上进一步提高疗效延长患者生存的治疗策略和探索方向?

朱正飞教授:在标准免疫联合化疗的基础上,为进一步提高疗效并延长患者生存期,我认为可以探索以下几个治疗策略和方向:
 
首先,考虑增加其他治疗手段,如放射治疗,特别是针对可能出现进展的部位。这一策略已在于金明院士报告的研究中初步显示出潜在的疗效提升:阿得贝利单抗联合化疗序贯胸部放疗一线治疗ES-SCLC,mPFS长达10.1个月,mOS长达21.4个月,刷新了ES-SCLC一线治疗的生存纪录,而且安全性也非常优异,≥3级肺炎的也仅仅6%,很好地平衡了疗效与安全性。
 
其次,药物应用的优化亦至关重要。尽管过去我们见证了SCLC治疗中化疗药物的更迭,如从依托泊苷联合铂类到伊立替康联合铂类的转变,但药物效果在不同人群中差异显著。日本人采用伊立替康联合铂类对比以依托泊苷联合铂类治疗ES-SCLC获得了阳性结果,但在欧美人中却是阴性。此外,免疫治疗在SCLC中的应用也展现出一定潜力,包括后线治疗和维持治疗。但部分研究结果显示为阴性结果,如KEYNOTE-604研究中帕博利珠单抗一线治疗ES-SCLC未带来显著生存获益。所以,我们在药物排兵布阵中需考虑是否增加维持治疗时间,或结合抗血管生成药物如安罗替尼等,以寻求更佳疗效,这可能也是大家可以去尝试的一个方向。
 
再次,新型药物的开发和应用亦不容忽视。如鲁比卡丁等细胞毒性药物,从目前数据来看,虽然其应用在亚洲患者中毒性反应较大,但目前已经在美国作为孤儿药获批,未来也有可能在中国获得批准或进行临床研究。同时,如DLL3等联合T细胞抗体类药物在神经内分泌癌中展现出的优势,亦为我们提供了新的治疗思路。
 
最后,我个人认为尽管免疫联合化疗相较于传统化疗在ES-SCLC中已取得一定进步,但疗效提升空间仍有限,这提示我们仍需继续深入探索SCLC的免疫逃逸机制,并加强对其分子生物学表型的认识。未来的研究需更加精准地选择患者群体,以实现个体化、精准化的治疗。但是要做到这一点,我们还有很长的一段路要走。
 
朱正飞教授
教授、博士生导师
复旦大学附属肿瘤医院放射治疗中心副主任,主任医师
复旦大学胸部肿瘤研究所副所长
中国抗癌协会肿瘤放射治疗专业委员会委员
中国抗癌协会肺癌专业委员会委员
中国抗癌协会食管癌专业委员会委员
中华医学会肿瘤放射治疗分会青委
中国临床肿瘤学会(CSCO)非小细胞肺癌专委会委员
中国医药教育学会肿瘤放疗专委会副主任委员
中国初级卫生保健基金会肺部肿瘤慢性病专委会副主任委员
国际肺癌研究协会(IASLC)会员
入选上海市浦江人才计划,上海市卫健委“医苑新星”杰出青年医学人才计划
获上海市抗癌科技奖一等奖(第一完成人)
MD.Anderson肿瘤中心访问学者

本内容仅供医学专业人士参考


肺癌

分享到: 更多