当前位置:肿瘤瞭望>资讯>正文

来自AURA系列研究的数据,第三代TKI治疗肺癌软脑膜转移的新数据

作者:肿瘤瞭望   日期:2020/2/7 18:50:04  浏览量:19791

肿瘤瞭望版权所有,谢绝任何形式转载,侵犯版权者必予法律追究。

脑膜转移的非小细胞肺癌(NSCLC)患者的预后往往较差,约3-4%的晚期NSCLC会出现脑膜转移,而携带EGFR突变的患者,这一比例可增加到9%。

编者按:脑膜转移的非小细胞肺癌(NSCLC)患者的预后往往较差,约3-4%的晚期NSCLC会出现脑膜转移,而携带EGFR突变的患者,这一比例可增加到9%。近期的JCO杂志公布了BLOOM研究的第2部分结果,发现奥希替尼160 mg可以为患者带来8.6个月的无进展生存期(PFS)。由于在BLOOM研究开始的时候,奥希替尼暴露剂量与疗效之间相关性数据较少,最佳给药剂量尚未确定,因此该研究的给药剂量设定为160 mg,而80 mg标准治疗剂量奥希替尼的疗效如何尚不明确。近期,发表于Journal of Thoracic Oncology杂志的一项研究针对这一问题进行了探索。笔者进行摘要编译,以飨读者。

研究背景
 
约3-4%的晚期NSCLC患者出现软脑膜转移,携带EGFR突变的患者这一比例可达到9-16%,这部分的患者预后较差,生活质量降低。全脑放疗及颅内注射是可选的治疗策略,虽然可以改善患者症状,但并不改善生存,且不良反应较大。即使经过治疗,这部分患者的中位生存期(OS)在3-10个月之间。BLOOM研究发现,奥希替尼160 mg可以为患者带来8.6个月的PFS和11.0个月的OS,本研究基于AURA系列研究的数据汇总,报告了标准剂量的奥希替尼治疗EGFR突变且有脑膜转移患者的疗效。

研究方法
 
这是一项回顾性研究,纳入AURA2、AURA3、AURA17及AURA扩展队列的患者,这几项研究的入排标准基本相似,其中,AURA17研究仅入组亚太地区患者,AURA3研究中奥希替尼作为二线治疗应用,而AURA扩展队列中,奥希替尼可能作为三线治疗手段应用。疗效评估每6周进行一次。由于该研究并不是预设分析,因此无脑脊液的疗效评估数据。

研究结果
 
研究共入组22例患者,AURA3和AURA 17分别入组7例和8例患者(图1),59%为女性,82%为亚裔,82%患者的PS评分为1分,中位年龄58岁,所有患者既往均接受过一代EGFR-TKI治疗,3例患者接受过WBRT治疗。
 
图1. 患者入组流程图
 
研究发现,22例患者中有6例评估为CR,6例患者评估为PR,8例评估为SD,2例评估为PD,ORR为52%,DCR为91%,中位至反应出现时间为8.7周。既往接受过全脑放疗的3例患者中,各有1例评估为CR、SD和PD。
 
表1. ARUA项目中奥希替尼治疗22例LM转移患者的疗效
 
中位LM 反应持续时间未达到(95% CI: 2.8 个月–不能计算)。CNS ORR为23%(5 of 22; 95% CI: 8–45),系统ORR为46%(95% CI: 24–68)。中位LM PFS为11.1个月 (95% CI: 5–不能计算)(图2),9个月的LM无进展率为60%,中位CNS的PFS时间为6.3个月 (95% CI: 3.6–不能计算),系统PFS为4.4个月 (95% CI: 2.9–15.5个月)。
 
图2. 患者的LM PFS
 
中位OS为18.8个月(95% CI: 6.3–不能计算),6个月、12个月及18个月的OS率分别为76%、65%和52%。
 
图3. 患者的OS
 
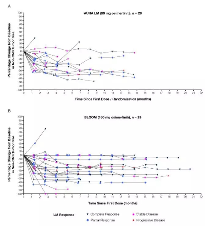
通过进一步绘制爪形图提示,奥希替尼80 mg和160 mg治疗软脑膜转移不存在疗效-剂量关系(图4)。
 
图4. AURA LM研究 (80 mg qd)和BLOOM研究(160 mg qd)中患者的脑膜转移反应和纵向non-CNS肿瘤大小

研究结论
 
基于影像学诊断的EGFR T790M突变阳性的晚期NSCLC患者可从奥希替尼80 mg qd治疗中获益。
 
文献来源
Ahn MJ,Chiu CH,Cheng Y,et al.J Thorac Oncol.2019 Dec 27.pii:S1556-0864(19)33854-7. doi: 10.1016/j.jtho.2019.12.113.

 

本内容仅供医学专业人士参考


肺癌

分享到: 更多