当前位置:肿瘤瞭望>资讯>快讯>正文

研究进展丨晚期尿路上皮癌患者一线治疗铂类不耐受情况和治疗结局分析

作者:肿瘤瞭望   日期:2024/8/5 14:16:15  浏览量:8955

肿瘤瞭望版权所有,谢绝任何形式转载,侵犯版权者必予法律追究。

晚期尿路上皮癌(UC)患者预后较差,5年生存率低,自上世纪80年代以来,以铂类为基础的化疗是局部晚期或转移性UC(la/mUC)的标准一线疗法,但获益有限。而铂类治疗的真实世界耐受情况和治疗结局并不明晰,今年的一项研究分析对美国晚期UC患者进行了分析。本刊特别总结整理,以飨读者。

编者按:晚期尿路上皮癌(UC)患者预后较差,5年生存率低,自上世纪80年代以来,以铂类为基础的化疗是局部晚期或转移性UC(la/mUC)的标准一线疗法,但获益有限。而铂类治疗的真实世界耐受情况和治疗结局并不明晰,今年的一项研究分析对美国晚期UC患者进行了分析。本刊特别总结整理,以飨读者。
 
 
背景
 
尿路上皮癌(UC)组织学类型占美国膀胱癌患者的90%以上,所有UC患者的整体5年相对生存率为77%。但新诊断患者中少部分(11%)为局部晚期或转移性UC,这部分患者的预期5年生存率低于15%,而转移性UC(mUC)患者仅为5%。由于功能状态和肾功能受损等原因,以顺铂为基础的一线化疗策略并不适用于此类人群。此外,接受一线顺铂方案患者的估计比例存在很大差异,美国为18%~60%,日本为80%以上。近年来,随着免疫检查点抑制剂(ICIs)帕博利珠单抗和阿替利珠单抗的引入,顺铂不耐受患者有了新的选择。但一线治疗中铂类药物不耐受的条件仍不明确,同时基于铂类药物的生存结局及现实应用情况也未被充分理解。因而这项研究分析了一线治疗中铂类药物不耐受的晚期UC患者的治疗方案和真实世界生存结局。
 
方法
 
这项回顾性观察研究使用了美国全国范围内的患者电子健康记录衍生数据库数据。纳入标准为18岁及以上,在2016年1月1日或之后被诊断为局部晚期或转移性尿路上皮癌,并在2021年12月31日前至少90天起始一线全身治疗。铂类不耐受定义为美国东部肿瘤协作组评分(ECOG评分)≥3,肌酐清除率<30 mL/min,或ECOG为2且肌酐清除率<45 mL/min。总生存期和真实世界无进展生存期(PFS)通过Kaplan-Meier分析。
 
结果
 
在4270名患者中,2335名(55%)为铂类药物耐受患者,477名(11%)为铂类不耐受患者。由于缺少信息,无法确定其余1458名(34%)患者的铂类药物适用状态。在2335名(55%)接受铂类药物治疗患者中,677名(29%)接受了一线PD-1或PD-L1治疗,1229名(53%)接受了以铂类为基础的化疗方案。在477名不耐受铂类患者中,262名(55%)接受了一线PD-1或PD-L1免疫检查点抑制剂,118名(25%)接受了基于铂类的化疗方案。
 
在后续分析中,2286名患者(54%)接受了PD-1/PD-L1或铂类化疗,且有可评估铂类药物适用状态的数据;其中1906名(83%)为铂类药物耐受患者,380名(17%)为铂类不耐受患者。铂类不耐受患者起始治疗的年龄高于铂类耐受患者(中位年龄80岁vs.72岁;P<0.001),并且实验室检查结果异常率更高,尤其血红蛋白水平(84%vs.67%;P<0.001)和白蛋白水平(35%vs.23%;P<0.001)。相比于铂类耐受患者,铂类不耐受患者接受过膀胱切除术的比例更低(38%vs.51%;P<0.001),且女性比例更高(37%vs 25%;P<0.001)。
 
不耐受铂类患者中,69%(n=118)的患者一线治疗接受了PD-1/PD-L1抑制剂方案。而31%(n=118)的患者接受了铂类化疗:其中大多数(81%,n=95)接受了卡铂方案,少数(19%,n=23)接受了顺铂类方案。
 
在铂类耐受患者中,少数(36%,n=677)接受了PD-1/PD-L1抑制剂;大多数接受了铂类化疗(64%,n=1229):其中多于半数(58%,n=709)接受了顺铂类方案,而42%(n=520)接受了卡铂类方案。
 
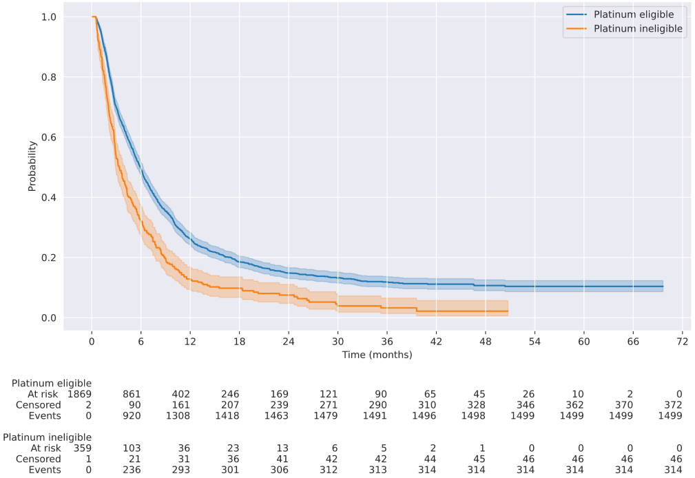
铂类耐受患者的中位总生存期为13.3个月,而铂类不耐受患者为5.1个月(95%CI,4.2~6.4个月)。
 
 
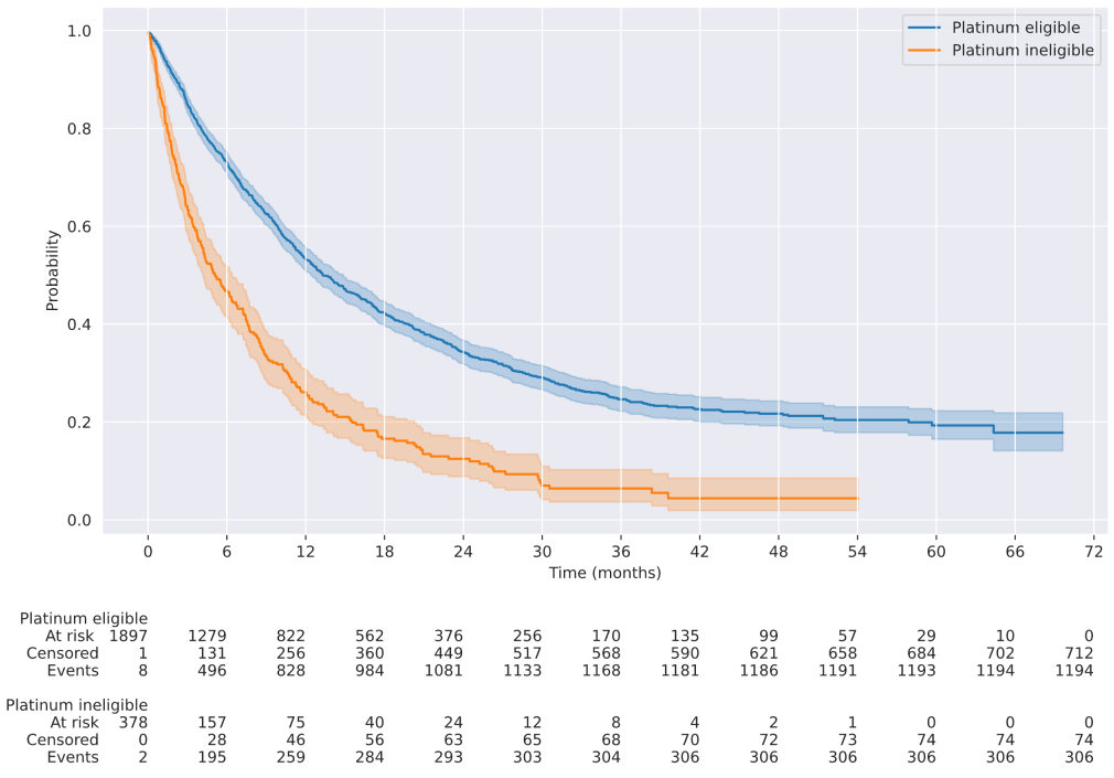
无论是总体人群分析还是按一线治疗分层分析,铂类不耐受患者的中位PFS更短(铂类不耐受患者vs.铂类耐受患者:3.4个月vs.5.9个月)。
 
 
结论
 
这项真实世界研究首次分析了新诊断局部晚期或转移性尿路上皮癌患者中,铂类不耐受患者的治疗策略和结局情况:总体人群中约11%的患者不耐受铂类药物,而在可评估铂类药物适用状态且接受了PD-1/PD-L1抑制剂或基于铂类化疗的患者中,有17%的患者不耐受铂类药物;不耐受铂类药物的患者往往年龄较大,根据实验室结果发现健康状况较差。并且无论一线治疗策略如何,不耐受铂类化疗患者的OS和PFS均明显短于耐受铂类化疗患者。对于这些患者而言,亟需新型治疗策略。
 
参考文献:Gupta S,Andreev-Drakhlin A,Fajardo O,et al.Platinum ineligibility and survival outcomes in patients with advanced urothelial carcinoma receiving first-line treatment[J].JNCI:Journal of the National Cancer Institute,2024,116(4):547-554.

 

本内容仅供医学专业人士参考


尿路上皮癌

分享到: 更多