当前位置:肿瘤瞭望>资讯>研究>正文

“钟”声“惠”言系列栏目13:安罗替尼联合PD-1治疗EGFR-TKI耐药晚期NSCLC患者疗效及安全性

作者:肿瘤瞭望   日期:2023/7/14 13:52:37  浏览量:10762

肿瘤瞭望版权所有,谢绝任何形式转载,侵犯版权者必予法律追究。

现代肿瘤学的发展为肺癌的治疗提供了多种突破性的治疗手段,肺癌也成为更新最为迅速的实体瘤之一。为了帮助临床医生深入、全面掌握该领域重磅进展,《肿瘤瞭望》携手上海市胸科医院呼吸内科主任钟华教授及韩宝惠教授,联手打造临床进展系列推送——“钟”声“惠”言。通过对高质量肺癌领域临床研究的解读,以促进临床诊疗实践的提高。第13期,两位教授带来“安罗替尼联合PD-1治疗EGFR-TKI耐药晚期NSCLC患者疗效及安全性”的研究。

现代肿瘤学的发展为肺癌的治疗提供了多种突破性的治疗手段,肺癌也成为更新最为迅速的实体瘤之一。为了帮助临床医生深入、全面掌握该领域重磅进展,《肿瘤瞭望》携手上海市胸科医院呼吸内科主任钟华教授及韩宝惠教授,联手打造临床进展系列推送——“钟”声“惠”言。通过对高质量肺癌领域临床研究的解读,以促进临床诊疗实践的提高。第13期,两位教授带来“安罗替尼联合PD-1治疗EGFR-TKI耐药晚期NSCLC患者疗效及安全性”的研究。这项研究是韩宝惠教授/钟华教授及科室钟润波教授团队的最新研究结果,数据已经于近期发表于国际抗癌联盟(UICC)的官方杂志——International Journal of Cancer杂志。
 
研究摘要
 
研究背景:EGFR-TKI是携带EGFR敏感突变患者的标准治疗选择,但患者可以因为耐药而导致治疗失败,耐药后的治疗选择非常有限。考虑到免疫检查点抑制剂和抗血管生成治疗具有协同作用,本研究旨在分析多靶点抗血管生成药物安罗替尼和免疫检查点抑制剂的联合,能否成为TKI类药物治疗失败的非小细胞肺癌患者后线标准治疗。
 
研究方法:这是一项单中心、回顾性临床研究,纳入标准如下:组织病理学或细胞病理学确认的局部晚期或转移性腺癌患者,携带EGFR敏感突变;患者接受TKI类药物治疗后出现疾病进展,且接受再活检,再活检后携带T790M突变的患者,需要接受三代靶向药物治疗后进展;患者接受安罗替尼联合免疫检查点抑制剂治疗。同时,本研究还纳入靶向药物耐药后,接受培美曲塞联合铂类药物治疗的非小细胞肺癌患者。免疫治疗药物为帕博利珠单抗200mg,每三周一次或纳武单抗3mg/kg,每两周一次,安罗替尼为10mg,口服,每日一次,连续口服两周休息一周。
 
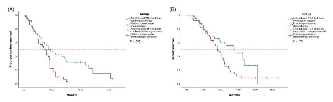
研究结果:最终,从2018年至2021年,共计6020例肺腺癌患者接受PD-1抑制剂治疗,1563例患者接受安罗替尼治疗。免疫治疗组和化疗组分别入组38例和42例患者,两组中位年龄分别为63和66周岁,局部晚期患者占比分别为2.6%和7.1%,其他临床病理特点均衡可比。两组中位PFS分别为4.33个月和3.60个月,P=0.005,6个月PFS率分别为42.1%和9.9%,12个月PFS率分别为22.6%和0%。数据分析时,两组分别有55.3%和83.3%的患者出现死亡事件,中位OS分别为14.17个月和9.00月,12个月OS率在联合治疗组和化疗组分别为55.8%和25.8%。在联合治疗组,73.7%的患者在4线及以后接受免疫联合安罗替尼治疗,这部分患者的中位PFS和中位OS分别为4.03个月和13.80个月,6个月和12个月的PFS率分别为35.7%和19.0%,12个月OS率为52.5%。38例接受联合治疗的患者中,分别有18.4%、73.7%,7.9%的患者评估为PR、SD和PD,ORR和DCR分别为18.4%和92.1%。而四线及以后接受该方案治疗的患者,ORR和DCR分别为10.7%和96.4%,4例患者因不良反应而导致永久性终止治疗。除此以外,其他患者的不良反应均可管理且可逆。
 
两组中位PFS
 
研究结论:安罗替尼联合针对PD-1的免疫检查点抑制剂可能是TKI类药物耐药的肺腺癌患者后线可考虑的治疗选择。
 
研究解读
 
韩宝惠教授:虽然靶向治疗具有高效低毒的特点,但是,多数患者可因耐药而导致治疗失败,如何在这部分患者中建立标准化的治疗策略是当前临床研究的热点和重点之一。目前的探索集中体现在三个方面:一个是以免疫为基础的治疗策略,包括免疫单药、双免疫、联合化疗、联合血管靶向等;其二是ADC类药物及双特异性抗体;三是新的靶点及技术的尝试。
 
以免疫治疗为基础的诊疗路径进行了非常对多的探索,也积累了非常多的循证医学证据。首先,免疫单药治疗靶向耐药的患者效果较差。一项荟萃分析纳入了CheckMtae-057、KeyNote-010及POPLAR研究共计1903例患者,在186例突变阳性的患者中,HR达到1.05,提示免疫单药后线治疗甚至有害。前瞻性研究中,较为有代表性的研究是ATLANTIC研究。该研究旨在评估Durvalumab三线及三线以后治疗晚期非小细胞肺癌的疗效及安全性。研究中,77例患者PD-L1表达水平≥25%。整体ORR为12.2%,<25%及>25%的患者,ORR分别为3.6%和12.2%,DCR分别为7.1%和20.3%,两组中位PFS均为1.9个月,中位OS分别为13.3个月和9.9个月。显示出的获益非常有限。
 
免疫单药后线治疗不同突变状态患者的汇总分析
 
在免疫的基础上进一步联合化疗目前研究的最多。2021年,欧洲肿瘤内科学会-免疫肿瘤学年会上,我们团队公布了替雷利珠单抗联合化疗治疗EGFR-TKI耐药NSCLC的II期研究数据。结果显示,在32例疗效可评估的患者中,全组患者的ORR为59.4%;进一步分析显示,EGFR的突变类型并不影响患者获益。在三药治疗的基础上进一步联合血管靶向所组成的四药治疗方案,也展示了一定的疗效。在IMpower-150研究中,研究者纳入了部分携带驱动基因突变的患者。在携带驱动突变的108例患者中,两组中位PFS分别为9.7个月和6.1个月,HR=0.59。随后在JTO杂志上,IMpower-150研究中基于突变状态的亚组分析进一步公布,ABCP和BCP组的中位OS分别为29.4个月和18.1个月,HR=0.60,与首次分析时的亚组分析结果基本一致。但是,对于四药组合,尤其是在后线应用四药治疗需要非常关注患者的安全性问题,因为经过多线治疗后,患者的免疫状态、体能评分等可能均要差于初始治疗的患者。而双免疫治疗前景并不明朗。在EGFR突变的患者中,KeyNote-021研究的D及H队列中,研究者纳入了10例EGFR-TKI经治的NSCLC患者接受K药联合伊匹木单抗治疗,仅有1例患者产生客观响应。
 
整体而言,免疫治疗在这部分患者中还需要进一步精选患者。
 
钟华教授:除了免疫为基础的策略外,还有一些新的策略也在探索并取得了不错的疗效。既往研究发现,HER-3在多种实体瘤中均有广泛表达,在非小细胞肺癌中,约83%的患者表达这一膜蛋白。HER-3与非小细胞肺癌患者的转移及较低的PFS有关。U3-1402是一款针对HER-3的抗体偶联药物,连接的细胞毒类药物为I型DNA拓扑异构酶抑制剂。Cancer Discovery发表的一项I期临床研究探索了针对HER-3的抗体偶联药物——U3-1402治疗TKI耐药患者的疗效及安全性。研究包括剂量爬坡及队列扩展两部分。爬坡阶段的剂量包括3.2 mg/kg(n=4),4.8 mg/kg(n=15),5.6 mg/kg(n=12),和6.4 mg/kg(n=5),后续推荐给药剂量为5.6 mg/kg,每三周给药一次。81例患者接受5.6 mg/kg的标准治疗,53%的患者在入组时有稳定的脑转移,患者既往中位治疗线数为4线,89%的患者既往接受过奥希替尼治疗,代表了这部分患者基本均为重度治疗的患者。独立评审委员会评估的ORR为39%,中位DOR为6.9个月。有脑转移的患者,ORR为32%。全组患者中位PFS和OS分别为8.2个月和未达到。需要注意的是,3度及以上治疗相关不良反应发生率为64%,
 
U3-1402治疗EGFR-TKI耐药患者
 
我们这项研究也发现,免疫联合多靶点抗血管生成治疗药物可能是另外一种可选择的治疗策略。体外研究发现,免疫治疗和血管靶向治疗之间存在协同作用,而在突变阴性的初治NSCLC患者中,我们前期的一项临床研究发现,两者联合的中位PFS超过15个月。而在后线耐药的患者中,两者的联合同样优于目前的含铂双药治疗这一当前的标准治疗选择,更重要的是这一组合策略具有良好的安全性,值得进一步探索。
 
▌参考文献:
DOI:10.1002/ijc.34536

本内容仅供医学专业人士参考


NSCLC

分享到: 更多