当前位置:肿瘤瞭望>资讯>正文

半相合同种异体外周血或骨髓造血干细胞移植序贯移植后环磷酰胺用于治疗骨髓纤维化患者:一项多中心临床研究结果

作者:肿瘤瞭望   日期:2022/10/31 10:42:43  浏览量:15380

肿瘤瞭望版权所有,谢绝任何形式转载,侵犯版权者必予法律追究。

原发性或由血小板增多症(ET)/真性红细胞增多症(PV)继发的骨髓纤维化是一种以JAK-STAT通路激活、骨髓纤维化改变、血细胞计数异常和全身症状为特征的克隆性造血系统肿瘤。

编者按:原发性或由血小板增多症(ET)/真性红细胞增多症(PV)继发的骨髓纤维化是一种以JAK-STAT通路激活、骨髓纤维化改变、血细胞计数异常和全身症状为特征的克隆性造血系统肿瘤。根据动态的国际预后评分系统(DIPSS),骨髓纤维化患者的总生存从最低风险组的185个月到最高风险组的16个月不等。尽管靶向JAK-STAT通路的抑制剂已获批用于该病,但异体外周血或骨髓造血干细胞移植(BMT)仍然是该病唯一可能的治愈选择。BMT和非移植治疗方案的比较数据表明,DIPSS中危-1以及更高风险组患者采取BMT获益更多,尽管早期非复发死亡(NRM)仍然不容忽视。
 
骨髓纤维化患者进行造血干细胞移植有几个重要问题值得重视。首先,骨髓纤维化患者确诊时的中位年龄约为67岁,因此需要考虑年龄相关合并症。其次,骨髓纤维化患者移植失败概率更高,可能与脾大以及不利的骨髓微环境有关。第三,既往文献表明,与同胞供者相比,匹配或不匹配的无关供者造血干细胞移植效果均较差。然而年龄较大的患者具备相合且可用的同胞供者难度较大。尽管单倍体造血干细胞移植(haplo-BMT)早已为人所知,但考虑到双向的同种异体反应导致较高的移植失败率和移植物抗宿主病(GVHD)发生率,单倍体造血干细胞移植尚未广泛实行。近年来,随着单倍体造血干细胞移植后环磷酰胺(PTCy)的使用,haplo-BMT后GVHD发生率显著降低,这进一步提高了haplo-BMT的可行性。
 
 
研究背景
 
尽管单倍体造血干细胞移植(haplo-BMT)是许多血液系统恶性肿瘤的标准治疗,但haplo-BMT治疗骨髓纤维化的数据仍然有限。目前仅欧洲血液和骨髓移植协会(EBMT)报道过一项关于56例骨髓纤维化患者采用haplo-BMT的队列研究。其结果显示,79%患者接受了PTCy,2年的总生存(OS)率和无进展生存(PFS)率分别为56%和43%。2年时的复发率为19%,移植失败率和非复发死亡率(NRM)分别为9%和38%。本文报道了一项横跨北美的回顾性、多中心研究结果,进一步随访了haplo-BMT后接受PTCy的慢性期骨髓纤维化患者的临床结果。
 
研究方法
 
本研究为13个临床中心合作开展的一项多中心回顾性临床研究,共纳入了2000年1月1日至2019年12月31日期间因原发性或ET/PV后慢性期骨髓纤维化(外周血或骨髓中的原始细胞<10%)而首次接受haplo-BMT和PTCy的所有患者(年龄≥18岁)。
 
GVHD分级按照标准定义记录。无GVHD、无复发生存(GRFS)被定义为无以下事件之一的复合终点:死亡、复发、3/4级急性GVHD或需要全身治疗的慢性GVHD。移植前预处理方案分为清髓性(MAC)、非清髓性(NMA)和减低强度预处理(RIC)方案。
 
主要临床终点包括总生存(OS)、无复发生存(RFS)、GRFS、NRM、复发、急性和慢性GVHD以及移植物功能。本文在脾脏可测量的患者中探索性分析了脾脏大小对患者预后的影响。我们还探索了脾大的不同阈值(20-25cm),并将脾脏大小作为连续变量进行分析。
 
研究结果
 
1-基线特征
 
本研究共纳入69例接受haplo-BMT治疗序贯PTCy的原发性或ET/PV后骨髓纤维化患者。患者的人口统计学、疾病、治疗和BMT特征详见表1。5名患者在移植前针对骨髓纤维化相关的症状性脾肿大接受了脾切除术。在移植前,62/64名患者的脾脏大小可测量,其中50例(81%)患者通过影像学测量,12例(19%)患者通过体格检查测量。62例患者的中位脾脏大小为18cm(范围9.4-28.1cm)。40名患者(58%)在移植前接受过JAK抑制剂,14名患者(20%)接受过去甲基化药物(HMA)±JAK抑制剂。最常用的移植预处理方案为氟达拉滨+环磷酰胺+全身照射2 Gy(N=27,39%)。GVHD的主要预防方式为移植后环磷酰胺(PTCy,所有人)。另外,51名患者(74%)还接受了钙调神经磷酸酶抑制剂(CNI)+霉酚酸酯(MMF),8名患者(12%)接受了mTOR抑制剂+MMF,10人(14%)使用抗胸腺细胞球蛋白(ATG)+CNI。
 
 
2-生存结果
 
截至末次随访,49名患者(71%)仍然存活,中位随访时间为23.1个月(1.6-75.7个月)。所有患者1年OS率为74%(95%CI,61%-83%),3年OS率为72%(95%CI,59%-81%)(表2和图1A)。造血细胞移植特异性合并症指数(HCT-CI)≥3与OS缩短相关(HR 3.97,95%CI,1.51–10.4,P=0.005),而男性供者与OS改善相关(HR 0.42,95%CI,0.17–1.00,P=0.050)。1年RFS率为72%(95%CI,60%-82%),3年RFS率为44%(95%CI,29%-59%)(表2和图1A)。HCT-CI≥3与较差的RFS相关(HR 2.16,95%CI,1.04–4.52,P=0.04),巨细胞病毒(CMV)阳性移植受者的RFS更长(HR 0.46,95%CI,0.22–0.96,P=0.038)。1年和3年GRFS率为55%(95%CI,42%-66%)和30%(95%CI,17%-43%)(表2和图1A)。CMV阳性的移植受者与GRFS改善相关(HR 0.52,95%CI,0.28–0.97,P=0.039)。单因素分析显示,针对OS、RFS或GRFS,脾脏大小、BMT前接受的最近一次治疗、预处理方案强度、BMT时DIPSS Plus或驱动基因突变均无显著预后意义。OS的多因素分析显示,HCT-CI≥3患者的OS缩短(HR 6.71,95%CI,2.35–19.2,P<0.001);男性供者对应的移植受者OS有所改善(HR 0.21,95%CI,0.08–0.56,P=0.002)。同样,在对RFS的多因素分析中,HCT-CI≥3仍然与较差的RFS相关(HR 2.36,95%CI,1.12-4.99,P=0.024),而CMV阳性受者与RFS改善相关(HR 0.46,95%CI,0.22–0.97,P=0.041)。
 
 
 
3-非复发死亡以及复发
 
所有患者1年和3年NRM发生率分别为21%(95%CI,12%-32%)和23%(95%CI,14%-34%)(表2和图1B)。因非复发因素死亡的15名患者,其死亡原因包括感染(n=8,53%)、终末器官毒性(n=4,27%)、GVHD(n=2,13%)以及颅内出血(n=1,7%)。单因素分析表明,年龄增加(HR 1.88,95%CI,1.08–3.26,P=0.025)和HCT-CI≥3(HR 4.07,95%CI,1.32–12.5,P=0.014)发生NRM的风险更高。多因素分析显示,年龄增加和HCT-CI≥3均与更高的NRM显著相关(年龄:HR 2.30,95%CI,1.22-4.34,P=0.010;HCT-CI:HR 5.11,95%CI,1.55–16.9,P=0.007)。
 
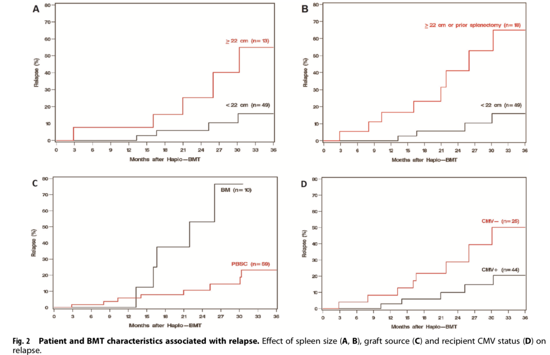
所有患者1年和3年的复发率分别为5%(95%CI,1%-12%)和31%(95%CI,17%-47%)(表2和图1B)。脾脏大小(连续变量,每增加5厘米)也与复发具有显著相关性(HR 1.90,95%CI,1.00–3.58,P=0.049)。当脾大的阈值定为22cm(HR 4.57,95%CI,1.31-16.0,P=0.017;图2A)或更大时,脾大仍然与复发相关。将骨髓移植前接受过脾切除术(因纤维化相关的症状性脾大接受脾切除术)的患者也纳入分析,则脾脏≥22 cm仍然与复发率升高相关(HR 6.37,95%CI,2.02–20.1,P=0.002)(图2B)。
 
与外周血造血干细胞移植相比,骨髓来源移植物与复发风险增加相关(HR 4.92,95%CI,1.68-14.4,P=0.004)(图2C)。移植时年龄较大(HR 0.36,95%CI,0.16–0.81,P=0.014)、受者CMV阳性(HR 0.32,95%CI,0.11–0.94,P=0.038;图2D)和移植年份更晚(HR 0.73,95%CI,0.61–0.87,P<0.001)均与较低的复发风险相关。移植前接受的最新治疗、预处理方案的强度、移植时的DIPSS Plus或驱动基因突变的单因素分析中,未发现患者NRM或复发的差异。
 
如上所述,在单因素分析中,多个变量与复发显着相关。在多因素分析的双变量模型中,在对受者年龄(HR 6.46,95%CI,1.85–22.6,P=0.004)、进行移植的年份(HR 5.47,95%CI,1.58–18.9,P=0.007)、受者CMV血清状况(HR 6.04,95%CI,1.93–18.9,P=0.002)、或移植物来源(HR 4.73,95%CI,1.18–18.9,P=0.028)进行调整后,脾脏≥22 cm或既往脾切除术仍与较高的复发风险独立相关。同样,骨髓来源移植物也得到相似结果。
 
2名患者(3%)在移植后+351天和+891天疾病复发,并接受了供体淋巴细胞输注。在最后一次随访中,2名患者仍然存活,疾病仍处于复发状态。
 
 
4-移植物抗宿主病
 
3个月时所有级别的急性GVHD发生率为36%(95%CI,25%-48%),3-4级急性GVHD发生率为10%(95%CI,4%-19%)(表2和图1C)。所有级别急性GVHD的中位发生时间为67天(范围,17天-537天),3-4级急性GVHD的中位发生时间为72天(范围,17天-125天)。1年和2年所有级别慢性GVHD发病率分别为22%(95%CI,13%-33%)和29%(95%CI,17%-41%)(表2和图1D)。1年和2年广泛慢性GVHD发生率为8%(95%CI 3%-16%)。共10名(14%)患者报告了需要全身治疗的慢性GVHD事件,中位发生时间为134天(范围,82天-329天)。
 
5-移植物功能
 
65名(94%)患者中性粒细胞植入的中位时间为20天(范围,14天-70天)。56名(81%)患者血小板植入的中位时间为34天(范围,15天-224天)。4名患者(6%)移植失败。其中,3人脾脏大小可测量(分别为16cm、19cm和23cm),其余患者脾脏不可测量。各有2名患者采用RIC和NMA预处理方案。所有4名患者均使用外周血移植物。中位CD34+细胞剂量为9.9×106/kg(范围,3.2-10.96×106/kg)。所有患者均死于移植相关并发症(感染和终末器官毒性各2例)。
 
6-脾脏疗效
 
脾脏可测量的67名患者中,有5名患者(7%)因潜在的骨髓纤维化继发的症状性脾肿大而接受脾切除术。在骨髓移植前,所有5名患者都接受了JAK抑制剂治疗。所有患者中性粒细胞均获得植入,中位植入时间为20天(范围,15-30天)。5名患者中,3名患者最终因疾病复发死亡,其余2名患者在最后一次随访时存活,中位缓解期为16个月。
 
研究结论
 
总之,单倍体造血干细胞移植、序贯移植后环磷酰胺在骨髓纤维化患者中是可行的。在本研究中,脾脏≥22 cm和骨髓来源造血干细胞移植均与较高的移植后复发率相关。
 
专家点评
 
本研究是一项关于单倍体异基因造血干细胞移植、移植后序贯环磷酰胺用于治疗骨髓纤维化患者的多中心回顾性临床研究,2021年发表于leukemia杂志。原发性或由原发性血小板增多症/真性红细胞增多症继发的骨髓纤维化是以骨髓纤维化改变为特征的造血系统恶性克隆性疾病。近期,一些新药如JAK2通路抑制剂(如芦可替尼)已经获批用于骨髓纤维化的治疗,但造血干细胞移植仍然是目前该病唯一可能的治愈选择。虽然造血干细胞移植是治疗骨髓纤维化的有效治疗手段,但是在造血干细胞移植过程中仍然有一些问题亟待解决:首先,骨髓纤维化患者的确诊年龄一般较大,中位年龄67岁,在移植过程中出现移植相关并发症的几率要高于年轻人;其次,与其他疾病相比,骨髓纤维化患者的移植失败率更高,这可能与患者脾大以及骨髓微环境功能异常有关;再次,年龄较大的患者寻找全相合的同胞供者难度较大。尽管单倍体造血干细胞移植使得更多骨髓纤维化患者有机会进行造血干细胞移植,但是较高的移植失败率以及移植物抗宿主病发生率限制了单倍体造血干细胞移植的广泛应用。移植后环磷酰胺的使用,一定程度上减少了急性和慢性移植物抗宿主病的发生,从而增加了单倍体造血干细胞移植在骨髓纤维化患者中的可行性。
 
目前,有关骨髓纤维化患者进行单倍体造血干细胞移植的数据有限,已发表数文章中仅EBMT报道过一项纳入56例骨髓纤维化患者采用单倍体造血干细胞移植的队列研究,其中79%的患者移植后采用环磷酰胺预防移植物抗宿主病的发生。2年PFS率分别为43%,2年复发率为19%,移植相关死亡率则高达38%。
 
本次介绍的研究是一项来自北美多中心的回顾性临床研究,共纳入69例于2000年-2019年确诊的原发性或由原发性血小板增多症/真性红细胞增多症继发的慢性期骨髓纤维化患者,首次接受单倍体造血干细胞移植以及移植后环磷酰胺预防移植物抗宿主病,患者年龄均大于18周岁。本研究的预处理方案选择上,以减低毒性预处理以及非清髓性预处理为主,清髓性预处理方案仅占7%(共5例患者)。54%患者采用减低毒性预处理方案,以含有小剂量TBI(2-4Gy)或含有塞替派的BuCy方案为主。另外39%患者接受非清髓性预处理方案,即TBI(2 Gy)联合环磷酰胺以及氟达拉滨的方案。基线特征方面,患者确诊时的中位年龄为59岁,最大年龄71岁;88%患者的骨髓纤维化分级≥2级,仅12%患者为1级骨髓纤维化。44%患者移植前HCT-CI评分≥3分。因此,本研究纳入的患者年龄较大、合并症较多。本研究中,患者移植回输的CD34+细胞数中位值为5.8×106/kg。生存数据显示,该研究中位随访23个月,最长随访75个月,3年OS率为72%,3年RFS率为44%。因此,该研究的总体疗效与EBMT研究基本一致。影响RFS的主要因素为HCT-CI评分≥3分,这部分患者预后较差。非复发死亡以及复发方面,该研究的3年NRM率为23%,显著低于EBMT数据(38%),推测可能与本研究患者主要采用减低强度预处理方案有关。危险因素分析显示,非复发相关死亡的影响因素主要为年龄和HCT-CI评分≥3分,这提示高龄以及合并症多的骨髓纤维化患者,其非复发相关死亡率较高。另外,本研究3年复发率(31%)高于EBMT数据(19%),可能与预处理强度有一定关系。因此,复发率与移植相关死亡率高低相互对应。复发相关的危险因素分析显示,移植前脾脏越大(脾脏≥22cm)或采用骨髓移植的患者,其复发率更高。移植物抗宿主病方面,移植后3个月时所有级别急性移植物抗宿主病发生率为36%,其中3-4级急性移植物抗宿主病发生率为10%。对于这组年龄较大、HCT-CI评分较高、并且采用单倍体造血干细胞移植的骨髓纤维化患者而言,该研究的急性移植物抗宿主病发生率尚可接受,可能与患者移植后接受环磷酰胺治疗有关。干细胞植入方面,94%患者中性粒细胞植入成功,中位植入时间为20天。4例(6%)患者中性粒细胞植入失败:2例采用减低强度预处理方案,2例采用非清髓性预处理方案。这4例失败患者输注CD34+干细胞数量较为充足(中位值约为9.9×106/kg),并且高于所有患者中位输注数值,因此推测干细胞植入失败可能与预处理方案强度以及疾病严重程度与有一定相关性。脾脏大小对疗效的影响方面,5名患者因症状性脾肿大在移植前接受了脾切除术。这些患者中性粒细胞均获得植入,中位植入时间为20天,与总体患者一致——说明脾切除术对于干细胞植入速度没有明显影响。5名患者中,3名患者最终因疾病复发死亡。因此,脾脏肿大代表了骨髓纤维化患者的疾病严重程度,并非疾病复发的根本原因;而脾切除术无法降低复发率、也不会明显加速干细胞植入速度。
 
总之,本研究采用单倍体造血干细胞移植、序贯移植后环磷酰胺预防移植物抗宿主病,对于骨髓纤维化患者是可行的治疗方案。此外,脾脏≥22cm以及骨髓来源造血干细胞移植均与移植后较高的复发率相关。
 
本研究的局限性在于:首先,该研究中的清髓性预处理方案比例较低,导致了患者较高的复发率。其次,本文未提供移植后的若干重要数据,如患者移植后脾脏能否缩小至正常水平以及恢复时间;患者进行移植后,骨髓纤维化能否得到逆转以及恢复时间等。
 
总体上,本研究为骨髓纤维化患者采用单倍体造血干细胞移植提供了可行的途径。未来,该方法还需要通过积累更多临床病例加以验证。
 
▌参考文献
 
Kunte S,Rybicki L,Viswabandya A,Tamari R,Bashey A,Keyzner A,Iqbal M,Grunwald MR,Dholaria B,Elmariah H,Ozga M,Singh A,Abedin S,DeZern AE,Jones RJ,Gupta V,Gerds AT,Jain T.Allogeneic blood or marrow transplantation with haploidentical donor and post-transplantation cyclophosphamide in patients with myelofibrosis:a multicenter study.Leukemia.2022 Mar;36(3):856-864.doi:10.1038/s41375-021-01449-1.Epub 2021 Oct 18.PMID:34663912.
 
 
姜尔烈教授
 
中国医学科学院血液病医院(中国医学科学院血液学研究所),医学博士,主任医师,博士生导师
 
中国医学科学院血液病医院(中国医学科学院血液学研究所)干细胞移植中心主任
 
中华医学会血液学分会造血干细胞应用学组副组长
 
中国抗癌协会血液肿瘤专业委员会造血干细胞移植与细胞治疗学组副组长
 
中国临床肿瘤学会(CSCO)中国自体造血干细胞移植工作组副组长
 
中国医疗保健国际交流促进会血液学分会委员
 
天津市抗癌协会常务理事;天津市血液与再生医学学会副理事长
 
天津市抗衰老学会血液病学专业委员会常务委员
 
《中华血液学杂志》《中国综合临床》《白血病·淋巴瘤》编委

本内容仅供医学专业人士参考


骨髓纤维化

分享到: 更多