2020年我国肝癌年新发病例约41万,约占全球新发人数的45.3%。2020年我国肝癌年死亡病例约39万[1],肝癌防治形势依然十分严峻。在众多的靶向药物中,仑伐替尼在我国肝癌患者的治疗疗效表现得较为突出,在近期举行的第十一届亚太原发性肝癌专家会议(APPLE2021)上有多项仑伐替尼治疗肝癌的研究亮相。本期“博闻强记聊愈肝”栏目中,复旦大学附属中山医院高强教授将对这些研究进行深度点评与解析。
.jpg)
(*以下文中提及仑伐替尼特指乐卫玛®)
2020年我国肝癌年新发病例约41万,约占全球新发人数的45.3%。2020年我国肝癌年死亡病例约39万[1],肝癌防治形势依然十分严峻。在众多的靶向药物中,仑伐替尼在我国肝癌患者的治疗疗效表现得较为突出,在近期举行的第十一届亚太原发性肝癌专家会议(APPLE2021)上有多项仑伐替尼治疗肝癌的研究亮相。本期“博闻强记聊愈肝”栏目中,复旦大学附属中山医院高强教授将对这些研究进行深度点评与解析。
01 TACTICS-L研究:仑伐替尼联合介入治疗
TACTICS-L研究是日本著名肝癌学者Masatoshi Kudo教授的一项前瞻性、单臂、II期临床研究[2]。该研究目前共纳入了62例不可手术切除HCC患者,所有患者需满足Child-Pugh评分≤7、ECOG评分0~1、无血管侵犯、无肝外扩散、病灶大小≤10cm且数量≤10、且无器官功能衰竭。所有患者接受口服仑伐替尼(体重大于60kg口服12mg qd或体重小于60kg口服8mg)联合经导管肝动脉化疗栓塞(TACE)治疗。研究的主要终点为无进展生存期(PFS),次要终点包括至发生无法治疗肿瘤进展的时间(TTUP)、客观缓解率(ORR)、总生存期(OS)和安全性。
研究结果显示仑伐替尼与TACE联合治疗的ORR高达79%(90%CI:68.7%~87.1%),其中完全缓解(CR)率高达53.2%。而在既往报道的TACTICS研究中,单独TACE组ORR为61.8%,CR率为27.6%。该研究初步提示了仑伐替尼联合TACE在部分不可切除HCC患者中的巨大治疗价值和应用前景。
02 肝癌根治性切除术后的仑伐替尼辅助治疗
中晚期肝癌(中国分期CNLC IIb-IIIa期)患者单纯手术的疗效并不理想,术后复发率较高。复旦大学附属中山医院肝癌研究所肝外科周俭教授团队进行了一项前瞻性、多中心、单臂研究[3]。
本研究共入组了24例IIb/IIIa期(病灶数量≥3或血管侵犯)的HCC患者,所有患者需满足Child-Pugh评分≤7、ECOG评分0~1、无肝外扩散,在R0根治性切除术后口服仑伐替尼(体重大于60kg口服12mg qd或体重小于60kg口服8mg),初步分析结果提示中位无复发生存期(RFS)为9.03个月。与既往单纯手术的IIb/IIIa期患者相比有了进一步的改善,初步提示了仑伐替尼在高危复发患者中预防或减少术后复发的可能性。
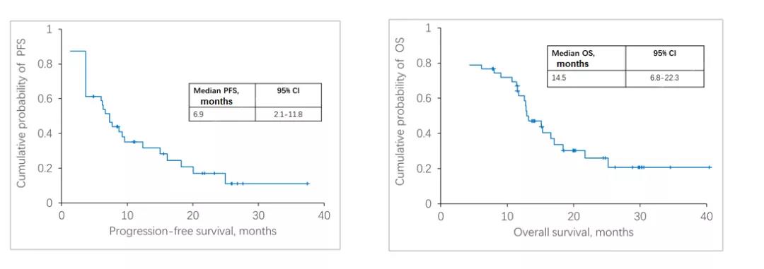
03 晚期不可切除肝癌患者一线单用仑伐替尼进展后联合免疫治疗在中国真实世界的研究
复旦大学附属中山医院肝癌研究所肝内科任正刚教授团队回顾性分析了中国真实世界中2018年4月至2020年4月期间46例晚期不可切除肝癌一线仑伐替尼进展后再接受仑伐替尼加抗PD-1单抗(pembrolizumab或trialimab)的晚期不可切除肝癌患者(uHCC),排除接受其他系统治疗的患者[4]。
主要结局包括:ORR、PFS和联合治疗开始至进展或死亡的时间,采用RECIST v1.1进行评估。治疗相关不良事件(TRAE)采用CTCAE v5.0进行评估,治疗期间患者生活质量(QoL)采用EORTC QLQ-C30和EORTC QLQ- HCC18问卷进行评估。
初步研究结果提示,mPFS为6.9m(95%CI:2.1~11.8),mOS为14.5m(95%CI:6.8~22.3)。仑伐替尼联合PD-1抗体有希望在仑伐替尼单药治疗进展后进一步改善患者的预后;同时,单用仑伐替尼进展后的uHCC患者加用免疫治疗耐受性良好,QoL有改善。该真实世界的数据提示,仑伐替尼单药治疗进展后,继续联合免疫治疗的研究值得开展更高质量的随机对照研究进一步评价。
04 仑伐替尼与PD-1单抗联合治疗对进展期肝癌患者肝功能的影响
复旦大学附属中山医院肝癌研究所肝外科孙惠川教授团队对79例仑伐替尼及PD-1单抗联合治疗的患者肝功能进行了回顾性分析[5]。
研究者使用白蛋白-胆红素(albumin-bilirubin,ALBI)评分模型评估在接受联合治疗的前3个月内的晚期HCC患者的肝功能,同时确定HBV-DNA复制阳性与阴性人群联合治疗后肝功能的差异。
研究结果提示,仑伐替尼和PD-1单抗联合治疗未造成严重肝功能损害。基线ALBI评分为2级的患者在治疗过程中肝功能恢复,可能与肿瘤负荷降低有关,且在开始联合治疗前给予患者有效的抗病毒治疗,联合治疗不影响肝功能。
综上,近年来仑伐替尼作为肝癌靶向治疗的重要基石,为高危复发患者术后提供的辅助治疗,为中晚期不可手术切除患者提供与介入治疗、免疫治疗等治疗策略的联合方案,将为肝癌患者的生存和生活质量的改善带来进一步的获益。
参考文献
1. Sung H, Ferlay J, Siegel R L, et al. Global cancer statistics 2020: GLOBOCAN estimates of incidence and mortality worldwide for 36 cancers in 185 countries[J]. CA Cancer J Clin,2021.
2. Saeki I, Ishikawa T, Ueshima K, et al. Transcatheter Arterial Chemoembolization Therapy in Combination Strategy with Lenvatinib in Patients with Unresectable Hepatocellular Carcinoma (TACTICS-L) in Japan: Interim Analysis. 2021 APPLE. Abstract OP-06.
3. Zhou J, Sun HC, Huang ZY, et al.Adjuvant Lenvatinib after Radical Resection in Patients with Hepatocellular Carcinoma (HCC): Preliminary Analysis of a Prospective, Multi-Center, Single-Arm Study. 2021 APPLE. Abstract FV-26.
4. Chen Y, Zhang L, Wang YH, et al. Lenvatinib (LEN) Plus Anti-PD-1 Antibodies in Patients with Unresectable Hepatocellular Carcinoma (uHCC) Who Progressed on Front-Line LEN: Real-World Data from China. 2021 APPLE. Abstract FV-27.
5. Shen YH, Huang C, Zhu XD, et al. Effects of Combination Therapy Using Lenvatinib and an Anti-PD-1 Antibody on Liver Function in Patients with Advanced Hepatocellular Carcinoma. 2021 APPLE. Abstract FV-24.
仑伐替尼携手介入、免疫共铸抗癌“利剑“,重磅研究亮相ESMO 2021
国内前沿研究
1.938P - 一项前瞻性、II期试验用以评估KN046联合仑伐替尼(LEN)在治疗晚期不可切除或转移性肝细胞癌中的疗效及安全性
KN046 (an anti-PD-L1/CTLA-4 Bispecific Antibody) in combination with Lenvatinib in the treatment for advanced unresectable or metastatic hepatocellular carcinoma (HCC): preliminary efficacy and safety results of a prospective phase II trial
BaoCai Xing
Beijing, China
2.948P - 基于MRI提取的肿瘤放射数据,用以预测LEN联合 PD-1 单抗在不可切除肝细胞癌(uHCC)治疗中的疗效
Predicting the efficacy of lenvatinib plus anti-PD-1 antibodies in unresectable hepatocellular carcinoma (uHCC) using radiomics features of tumors extracted from baseline MRI
Huichuan Sun
Shanghai, China
3.945P - LEN联合TACE,用于术后具有高复发风险的肝细胞癌患者辅助治疗:多中心前瞻性队列研究的最新结果
Adjuvant Lenvatinib in combination with TACE for hepatocellular carcinoma patients with high risk of postoperative relapse (LANCE): updated results from a multi-center perspective cohort study
Jinhong Chen
Shanghai, China
国外前沿研究
1.937P - LEN联合HAIC治疗晚期肝细胞癌的多中心II期研究
Multicenter Phase II trial of lenvatinib plus hepatic intra-arterial infusion chemotherapy with cisplatin for advanced hepatocellular carcinoma: LEOPARD
Masafumi Ikeda
Kashiwa, Chiba, Japan
2.506TiP - 帕博利珠单抗联合LEN对比SoC后线治疗转移性结直肠癌的III期研究
Pembrolizumab Plus Lenvatinib Versus Standard of Care for Previously Treated Metastatic Colorectal Cancer (mCRC): Phase 3 LEAP-017 Study
Takayuki Yoshino
Kashiwa, Chiba, Japan
3.726MO - LEN联合帕博利珠单抗相比医生选择的治疗,基于组织学和一线治疗在晚期子宫内膜癌患者中的疗效
Outcomes by Histology and Prior Therapy with Lenvatinib Plus Pembrolizumab vs Treatment of Physician’s Choice in Patients with Advanced Endometrial Cancer (Study 309/KEYNOTE-775)
Nicoletta Colombo
Milan, Italy
4.717TiP - MK-1308A+LEN与帕博利珠单抗+Belzutifan+LEN或与帕博利珠单抗+LEN作为晚期肾透明细胞癌一线治疗的III期试验
Randomized, Open-Label, 3-Arm Phase 3 Study Comparing MK-1308A + Lenvatinib and Pembrolizumab (Pembro) + Belzutifan + Lenvatinib versus Pembro + Lenvatinib as First line (1L) Treatment for Advanced Clear Cell Renal Cell Carcinoma (ccRCC)
Brian I. Rini
Cleveland, OH, United States of America
5.8P - 同源小鼠模型中与LEN联合 PD-1 单抗抗肿瘤活性相关的肿瘤特征
The characterization of tumors associated with the antitumor activity of lenvatinib plus anti-PD-1 antibody combination therapy in a mouse syngeneic model panel
Yoichi Ozawa
Tsukuba, Japan
6.1555TiP - 帕博利珠单抗联合LEN后线治疗经典卡波西肉瘤的研究
A Phase II single-arm study of PembrolizUmab plus Lenvatinib in previously treated classic Kaposi SARcoma (CKS): the PULSAR trial.
Alice Indini
Milan, Italy
7.640TiP - 帕博利珠单抗联合LEN治疗转移性去势抵抗性前列腺癌(mCRPC)或治疗神经内分泌性mCRPC患者的1b/II期研究
Phase 1b/2 Trial of Pembrolizumab (pembro) + Lenvatinib Combination Therapy in Patients (pts) With Adenocarcinoma Metastatic Castration-Resistant Prostate Cancer (mCRPC) or Treatment-Emergent Neuroendocrine mCRPC (t-NE): KEYNOTE-365 Cohorts E and
Gero Kramer
Vienna, Austria
8.796P - LEN联合帕博利珠单抗治疗晚期子宫内膜癌 (EC) 的生物标志物与临床结果之间的关联
Association Between Biomarkers and Clinical Outcomes of Lenvatinib (L) + Pembrolizumab (P) in Advanced Endometrial Cancer (EC): Results From KEYNOTE-146/Study 111
Vicky Makker
New York City, United States of America
9.571P - LEN在晚期放射性碘难治性分化型甲状腺癌 (rDTC) 患者中的疗效和耐药性的真实单中心回顾性研究
Real-life monocentric, retrospective study on efficacy and tolerability of Lenvatinib (Len) in patients (pts) with advanced radioactive iodine–refractory differentiated thyroid cancer (rDTC).
Stefania Zovato
Padova, Italy
10.1746P - 一项针对接受不同起始剂量LEN治疗的放射性碘难治性分化型甲状腺癌患者的II期研究---健康相关生活质量(HRQoL)分析
Health-related quality-of-life (HRQoL) analyses from Study 211—a phase 2 study in patients (pts) with radioiodine-refractory differentiated thyroid cancer (RR-DTC) treated with 2 starting doses of lenvatinib (LEN)
Matthew H. Taylor
Portland, United States of America
11.660P - 晚期肾细胞癌 (aRCC) 的 III 期 CLEAR 试验:亚组结果和毒性更新
Phase 3 CLEAR Trial in Advanced Renal Cell Carcinoma (aRCC): Outcomes in Subgroups and Toxicity Update
Toni K. Choueiri
Boston, United States of America
12.667P - 免疫抑制剂联合靶向疗法治疗转移性肾细胞癌的成本效益
Cost Effectiveness of Immune Checkpoint Inhibitors in Combination with Targeted Therapies in Metastatic Renal Cell Carcinoma
Neil Mason
Tampa, United States of America
13.677P - 免疫疗法与舒尼替尼作为一线治疗晚期高危肾细胞癌患者的随机临床试验的荟萃分析
Immunotherapy vs sunitinib as first-line treatment for advanced renal cell carcinoma in favourable risk patients. A meta-analysis of randomized clinical trials
Ray Manneh Kopp
Valledupar, Atlantico, Colombia
专家简介
高 强
复旦大学附属中山医院肝脏外科主任医师、教授、博导
复旦大学肝癌研究所办公室主任
长江学者奖励计划“特聘教授”
万人计划、国家优青、全国青年岗位能手
上海市优秀学科带头人、优秀学术带头人、曙光学者
中国抗癌协会青年理事会理事
中国病生学会免疫分会青委会主任委员
中国医师协会肛肠转化医学分会副组长等职务。
主要从事肝胆外科和肝脏移植工作,擅长微创外科,以第一或通讯(含共同)作者发表SCI 论著50余篇,包括Cell、J Clin Oncol、J Hepatol、Cell Res、Gut、Gastroenterology、Hepatology、Nat Commun、Mol Cancer、Clin Cancer Res、Cancer Res等杂志。主持科研项目20多项,包括国自然重大研究计划、国际合作重点项目、面上及优青项目等。曾获教育部自然科学一等奖、华夏医学科技奖一等奖、上海市科技进步一等奖、教育部青年科学奖、全国优博论文、药明康德生命化学研究奖、树兰医学青年奖、吴孟超医学青年奖、复旦大学十大医务青年和校长奖等荣誉和奖励。