当前位置:肿瘤瞭望>资讯>正文

频繁饮酒 vs 饮酒量:哪个更能增加胃肠道肿瘤风险?

作者:  刘丹   日期:2021/8/23 11:41:51  浏览量:16718

肿瘤瞭望版权所有,谢绝任何形式转载,侵犯版权者必予法律追究。

与每次饮酒量相比,频繁饮酒是胃肠道肿瘤发生的更重要的风险因素。

发表在JAMA Network Open上的一项研究表明,与每次饮酒量相比,频繁饮酒是胃肠道肿瘤发生的更重要的风险因素。

 
 
国际癌症研究机构已将酒精列为第一类致癌物。超过5%的新癌症病例与饮酒有关。胃肠道是最容易受酒精影响的器官之一,流行病学证据显示,饮酒与食管癌、结直肠癌和肝癌的风险之间相关。饮酒还可能与胃癌和胰腺癌的高风险有关。
 
目前,饮酒模式与癌症风险之间的联系尚未得到评估。而大多数流行病学研究只关注总体酒精消费,却缺乏关于饮酒频率和其他方面的数据。对于胃肠道肿瘤,饮酒的频率还是每次饮酒量更与其相关?对于,韩国首尔国立大学医院Jung Eun Yoo及其同事开展了一项研究,评估了对于总体和特定部位的胃肠道肿瘤,频繁饮酒是否比重度饮酒(每周饮酒≥210克)更具风险?
 
Yoo等从韩国全国健康保险系统数据库中收集了从2009年1月1日到2010年12月31日接受全民健康检查的11 737 467例非癌症患者的数据。研究人员在患者健康筛查后1年对其进行随访,直到他们被诊断为胃肠道肿瘤或死亡,日期截止日期为2017年12月31日。中位随访6.4年,统计分析时间为2019年1月1日至2020年3月31日。
 
暴露包括每周饮酒(不饮酒者[每周0克],轻度饮酒者[每周0-104克],中度饮酒者[每周105-209克],重度饮酒者[每周≥210克])、饮酒频率和每次饮酒量。主要结果包括6个特定部位发生胃肠道肿瘤:食道、胃、结肠、肝脏、胆道和胰腺。
 
研究人员注意到,在11 737 467例患者中,有319 202例患上了胃肠道肿瘤。
 
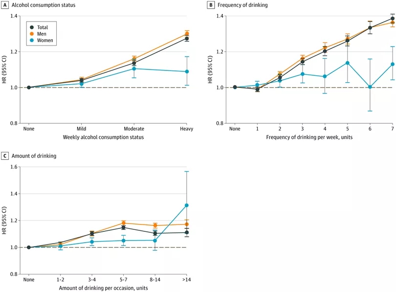
与不饮酒者相比,轻度饮酒者(调整后的风险比[aHR]为1.04;95%CI:1.03~1.05)、中度饮酒者 (aHR 1.14;95%CI:1.12~1.15) 和重度饮酒者 (aHR 1.28;95%CI:1.26~1.29) 患胃肠道肿瘤的风险更高(图1,表1,表2)。
 
胃肠道肿瘤风险随饮酒频率呈剂量依赖性线性增加(对于每天饮酒的个体,aHR 1.39;95%CI:1.36~1.41)(图1,表1)。
 
相比之下,每次饮酒5~7个单位者,胃肠道肿瘤的风险似乎增加 (aHR 1.15; 95% CI, 1.14~1.16) ,而每次饮酒更高者的aHR并不高于每次饮酒5~7个单位者(每次饮酒5~14个单位: aHR 1.11, 95%CI: 1.09~1.12; 每次饮酒高于14个单位者: aHR 1.11, 95%CI: 1.09~1.14) ( 表1) 。
 
在每周饮酒水平相近的情况下,患胃肠道肿瘤风险随饮酒频率的增加而增加,但随每次饮酒量的增加而降低。6个特定部位的风险模式与所有胃肠道肿瘤的风险模式相似。
 
图1. 胃肠道肿瘤风险随饮酒频率呈剂量依赖性线性增加
(图片引自发表文章)
 
表1. 胃肠道风险与饮酒状况
(表格引自发表文章)
 
表2. 胃肠道风险与每周饮酒量
(表格引自发表文章)
 
该研究表明,就胃肠道肿瘤发生风险而言,频繁饮酒可能是比每次饮酒量更重要的一个风险因素。研究提示,除了总饮酒量或每次饮酒量外,人们还应注意定期饮酒的频率。
 
来源
Yoo JE, et al.JAMA Network Open. 2021;doi: 10.1001/jamanetworkopen.2021.20382.

本内容仅供医学专业人士参考


胃肠道

分享到: 更多