编者按:本期为诺华NET之声第19期,精选了神经内分泌肿瘤(NET)领域新近发表的7项研究。内容涵盖了胰腺NET诊断标志物、术后复发因素及辅助治疗的探索、十二指肠、阑尾以及直肠NET预后因素及治疗策略研究以及肽受体放射性核素治疗在肝转移性NET综合治疗的潜在价值探索。其中,有2篇来自中国研究团队的论文,分别对胰腺NET根治术后辅助治疗和肠镜下直肠NET表现预测肿瘤侵犯深度进行研究。本期特别邀请了北京大学第一医院杨尹默教授、刘光年博士,对胰腺NET根治术后辅助治疗研究进行精彩点评。

1. G2级胰腺神经内分泌瘤根治性切除术后长效奥曲肽辅助治疗的效果
The effect of using long-acting octreotide as adjuvant therapy for patients with grade 2 pancreatic neuroendocrine tumors after radical
resectionJournal of Pancreatology
海军军医大学长海医院金钢教授团队发表在《Journal of Pancreatology》的一项回顾性研究,旨在探讨长效奥曲肽辅助治疗根治性切除术后G2级胰腺神经内分泌瘤(pNET)预防肿瘤复发的效果。
该研究回顾性分析2008-2018年海军军医大学长海医院治疗的130例可R0切除的G2级pNET患者的术后随访数据,其中59例行长效奥曲肽辅助治疗6-12月(奥曲肽组,OCT组),71例进行积极随访(对照组),随访于手术完成后开始,主要观察终点为无病生存期(DFS),次要研究终点为总生存期(OS)。
研究发现OCT组和对照组中位年龄分别为52岁和54岁,男性占28例(47.5%)和33例(46.5%),平均肿瘤最大径3.5cm、3.0cm;淋巴结转移阳性13例(22.0%)和9例(12.7%);存在胰周神经侵犯11例(18.6%)和6例(8.5%)。研究结果显示OCT组和对照组中位DFS和OS均未达到。OCT组与对照组术后2年DFS分别为98.3% 和88.7%(P=0.0371),3年DFS为96.6% 和85.9%(P=0.0498),具有显著性差异。应用逆概率处理加权法(IPTW)平衡极限数据偏倚后,长效奥曲肽治疗可降低G2级 pNET 根治性切除术后3年复发风险(HR=0.2,P=0.044)。
综上, G2级pNET根治性切除术后应用长效奥曲肽进行辅助治疗可以提高3年无病生存率。而治疗获益和优势人群需大型随机对照研究验证。
图1. 3年DFS的Kaplan–Meier 生存分析。
表1. PH cox模型和IPTW cox模型的风险比及其置信区间

专家点评:北京大学第一医院 杨尹默教授、刘光年博士
神经内分泌肿瘤是一种相对罕见且高度异质的肿瘤,虽然对其生物学行为及临床诊治的探索已逾百年,但对这一类疾病的认知仍较为肤浅,对其发病机制尚不十分明确,在某些临床诊治的策略及路径方面也缺乏共识,具有一定的特殊性及复杂性。
胰腺神经内分泌瘤(pNET)患者的预后虽好于胰腺癌,但即使是根治性切除术后,常见肿瘤复发及远处转移,导致患者不良预后。术后对肿瘤复发的防治一直是该领域的热点课题。鉴于pNET临床少见及其相对惰性的生物学行为,对肿瘤复发和转移进行高质量的RCT研究非常困难,目前尚无相关的研究报告,在对pNET术后患者如何进行辅助治疗以降低其复发及转移方面,也缺少共识。
本研究来自国内较大规模的胰腺外科中心,样本量较大,临床数据完整,在pNET根治性术后辅助治疗效果的评价方面,进行了卓有意义的真实世界研究。在罕见病领域,真实世界研究更具可行性,通过回顾性的队列和病例对照研究,同样可以得出具有较高循证级别的研究结果。本研究结果提示对于G2级pNET患者,术后应用长效奥曲肽可显著延长患者术后2年及3年无病生存率(DFS%),并可显著降低术后3年复发风险。虽然试验组患者基线特征如肝转移、淋巴结转移及胰周神经侵犯等发生率高于与对照组,但却获得了更好的预后,客观说明术后应用长效奥曲肽的作用和意义。
作为针对罕见病的回顾性队列研究,难以避免存在可比性问题,并可致结果偏倚,但不影响本研究结论对临床实践的指导意义。如何筛选最佳获益的患者群体个体化施治并给予最适宜的治疗时长,开展前瞻性研究予以验证,仍是未来研究需要着重解决的关键问题。
2. 基于内镜下肿瘤表现开发直肠神经内分泌瘤管理的新评分系统
Development of A Novel Scoring System Based on Endoscopic Appearance for Management of Rectal Neuroendocrine Tumor
Endoscopy [IF=7.341]
中山大学附属第一医院陈洁教授团队发表在《Endoscopy》的一项回顾性研究,旨在开发一种基于内镜下肿瘤表现的新评分系统,以预测在直肠神经内分泌肿瘤(NET)最初诊断时患者是否属于内镜下晚期疾病(不适合内镜下切除)。
该研究回顾性纳入了2005年1月至2019年12月诊断为分化良好的直肠NET患者。使用logistic回归分析研究内窥镜检查外观与晚期疾病之间的关系。将整个数据集随机分为训练集和验证集,分别用于开发和验证新评分系统。
研究共纳入309例患者。分析发现直肠NET的内镜下表现与晚期疾病显著相关(P<0.001)。在训练集中使用内镜下表现(包括肿瘤大小、肿瘤形状和粘膜表面)开发了一种新的评分系统。训练集和验证集用于预测晚期疾病的评分系统的曲线下面积(AUC)分别为0.953(95%CI,0.915-0.991;P<0.001)和0.960(95%CI,0.905-1.000;P<0.001)。此外,评分系统与肿瘤分级显著相关。基于新评分系统的高分患者的无复发生存期(DFS)和总生存期(OS)均显著低于低分患者(P<0.001)。
综上,本研究提出的基于内镜检查原发性肿瘤外观的新评分系统可以帮助准确识别不适合内镜下切除的直肠NET患者。此外,它在监测直肠NET患者的肿瘤复发和总生存方面具有重要价值。


图2. 基于直肠NET内窥镜检查外观的新评分系统(分数越高,晚期疾病的风险越高;最佳截断值为110分)及示例。
3. 对于大多数小的散发性、G1级、非壶腹、非功能性十二指肠神经内分泌瘤患者,常规内窥镜监测的“观察和等待”策略是安全的
A ’watch and wait’ strategy involving regular endoscopic surveillance is safe for many patients with small, sporadic, grade 1, non-ampullary, non-functioning duodenal neuroendocrine tumours
Neuroendocrinology [IF=4.271]
发表在《Neuroendocrinology》的一项回顾性研究,旨在评估十二指肠神经内分泌肿瘤(d-NETs)患者选择常规内窥镜监测,即“观察和等待”策略是否与进行内窥镜或手术切除患者具有相同的疾病相关结局。
该研究回顾性分析了2007-2020年在利物浦ENETS卓越中心组织学证实的d-NET患者。69例患者诊断为d-NET,其中50例是散发性、非功能性、非壶腹肿瘤。治疗组患者在年龄、性别、肿瘤位置和分级方面相似,但不出所料,手术治疗组的肿瘤更大(中位直径17mm (P<0.0001))。5例患者接受了手术切除,且没有肿瘤复发或疾病相关死亡的证据。12例患者接受了内窥镜切除术,随访期间发现1例局部复发。30例患者(28例d-NETs ≤10mm)“观察等待”切除,仅在肿瘤增大的情况下进行切除。中位随访大于27个月(IQR:15-48,R:3-98),28/30患者的d-NETs大小保持稳定或减小。7例患者在诊断性活检时通过撕脱术彻底清除了d-NET,且在随后的内镜检查中未观察到d-NET。仅2例患者在监测期间观察到d-NETs增大,其中只有1例适合进行内镜切除。随访期间未记录到与NET相关的死亡。
该研究队列中所有局部、≤10mm、G1级、非功能性和非壶腹d-NETs均为惰性的,疾病进展风险极低,且无肿瘤相关死亡。因此,“监测和等待”似乎是这部分d-NETs患者一种安全的替代管理策略。

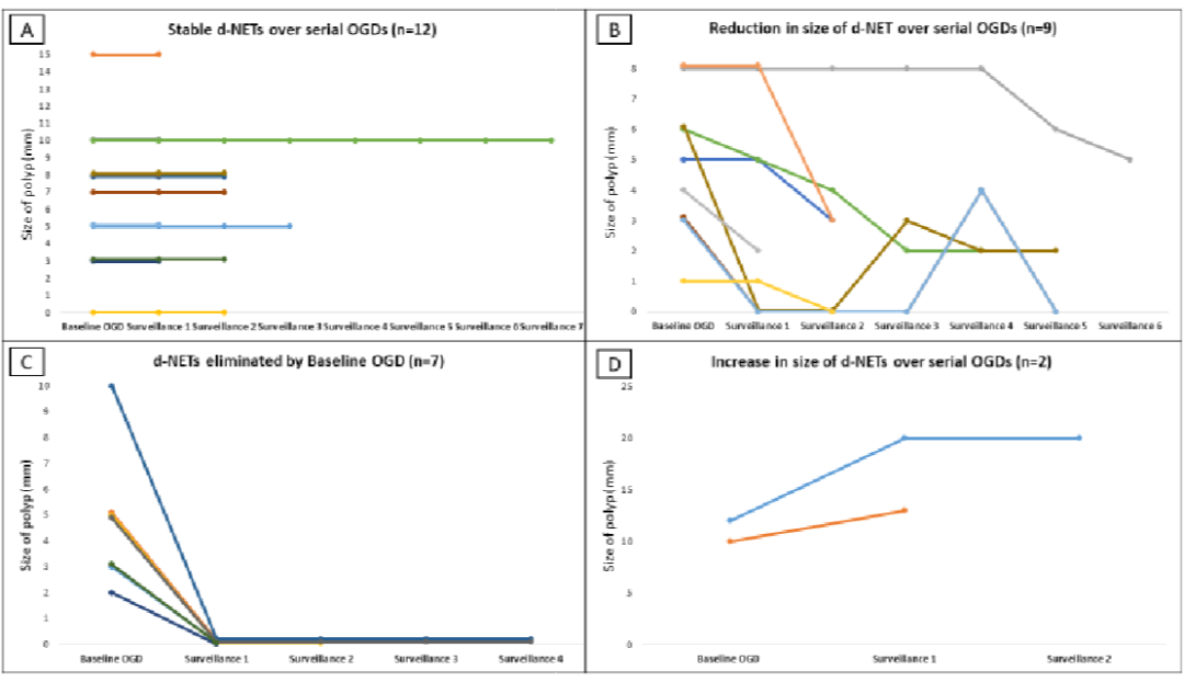
图3. 内窥镜检查患者后续食管胃十二指肠镜(OGD)的息肉大小。
A:连续OGD保持完全稳定的患者;B:d-NETs大小随时间的推移而缩小的患者;C:初次内窥镜检查d-NETs被活检钳完全撕脱的患者;D:在随访期间d-NET大小增加的患者。
4. 肽受体放射性核素治疗作为神经内分泌肿瘤起始不可切除的肝脏病变的两步治疗策略:一项单中心经验
Peptide receptor radionuclide therapy as a two-step strategy for initially unresectable liver disease from neuroendocrine tumors: a single-center experience
Endocrine [IF=3.235]
注:Lu-177-DotaTATE尚未在中国获批
发表在《Endocrine》的一项单中心经验研究,探讨了基于肽受体放射性核素治疗(PRRT)治疗最初不可切除肝脏疾病的两步治疗策略经验:首先是手术前进行新辅助治疗,然后是疾病复发时的再次使用。
该研究回顾性评估了4例不同起源NET的不可切除的肝转移患者,首先接受Lu-177-DotaTATE新辅助治疗以转变为可切除,然后在疾病复发后接受Lu-177-DotaTATE作为再挑战治疗。
分析结果提示,Lu-177-DotaTAE治疗后,4例患者中的3例达到了可切除。1例患者在术前还接受了SIRT治疗。在32、34和37个月后,4例患者中的3例复发,并通过Re-PRRT治疗。
尽管需要更多的数据,该回顾性研究表明,Lu-177-DotaTATE不仅是新辅助治疗的重要辅助手段,而且在疾病复发后也是重要的治疗手段。
图4. Ga-68-DotaTATE PET/CT显示病例3在多学科联合治疗后达到完全缓解。
5. 淋巴结转移和右半结肠切除术对阑尾神经内分泌肿瘤(aNETs)结局的影响
The impact of lymph node metastases and right hemicolectomy on outcomes in appendiceal neuroendocrine tumours (aNETs)
Eur J Surg Oncol [IF=3.959]
发表在《Eur J Surg Oncol》的一项回顾性研究,评估了1990年至2016年诊断的所有aNET患者中淋巴结和右半结肠切除术(CRH)对结局(包括生存)的影响。
该研究纳入了102例aNET患者(52例为女性),中位年龄39.4(范围16.3-81.1)岁。平均肿瘤大小为12.7 (范围1-60)mm,多数位于阑尾尖端(63%)。79%的病例进行阑尾切除术,其余的则进行了结肠切除术。30例患者在手术后中位3.2个月(1.4-9.8个月)进行了CRH,其中9例留有残留病灶:淋巴结(n=8)或残留肿瘤(n=1)。单因素logistic回归分析表明,肿瘤大小≥2cm可显著预测残留病灶(P=0.020)。4例患者拒绝CRH,但未发生复发或生存期缩短。1例患者随访16.5年后复发,另1例患者在随访18.8年后出现了第2个神经内分泌瘤。5例患者死亡,其中1例与aNET相关。5年和10年总生存率分别为99%和92%;5年和10年无复发生存率分别为98%和92%。ENETS分期仅影响5年无复发生存期(P=0.002)。
综上,aNET是惰性的,患者具有很高的总生存率和无复发生存率。复发很少见,在本研究队列中仅在数十年后才发生,这为选择性监测和随访提供了有力的依据。淋巴结阳性的重要性和完成右半结肠切除术的必要性尚不清楚。

图5. 根据ENETS TNM分期的5年无复发生存率(显示风险患者人数)
6. 循环神经内分泌基因转录水平检测(NETest):胰腺神经内分泌瘤根治性手术疗效早期识别的一个术后策略
Circulating Neuroendocrine Gene Transcripts (NETest): A Postoperative Strategy for Early Identification of the Efficacy of Radical Surgery for Pancreatic Neuroendocrine Tumors
Ann Surg Oncol [IF=4.061]
发表在《Ann Surg Oncol》的一项前瞻性、纵向、单中心研究,旨在评估神经内分泌基因转录水平(NETest)的血液指标是否可诊断胰腺神经内分泌瘤(PanNETs),以及评估NETest的血液水平是否可以预测完全切除。并将转录水平分析与生物标记嗜铬粒蛋白A(CgA)进行了比较。
研究纳入了30例术后组织学证实的PanNET患者。在术前和术后第1天(POD1)、POD5和POD30收集血液用于检测NETest和CgA。通过实时定量逆转录聚合酶链反应和多组分分析系统测量转录水平(NETest;正常<20),通过酶联免疫吸附测定测量CgA(ELISA;正常<109 ng/mL)。数据表示为平均值±标准差(SD)。
在30例胰腺手术切除患者中:R0切除,26例患者;R1切除:2例患者;R2切除:2例患者。术前所有30例患者的NETest评分均升高(44.7±27),但术后至POD30(24.7±24)NETest评分显著降低(P=0.006)。POD30时评分升高的患者比例(15/30)显著降低(P<0.0001)。仅9/30患者术前CgA水平升高(184±360 ng/mL),但术后POD30时CgA水平并未显著降低(260±589 ng/mL,P=0.398)。CgA水平升高的患者人数保持不变(9/30)。
综上,NETest是PanNETs的准确诊断性生物标志物(100%)。根治性切除后NETest水平降低表明该血液指标可用于早期评估手术疗效。CgA没有临床效用。

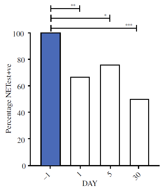
图6. NETest评分与手术切除的关系。在4个不同的时间点测量NETest:术前、POD1、POD5和POD30。条形图表示平均值和标准差。统计显著性:***P≤0.001;**P≤0.01。NETest,神经内分泌基因转录水平;POD,术后天数。

图7. NETest评分变化和手术。在4个不同的时间点NETest阳性患者百分比:术前、POD1、POD5和POD30。条形图表示评分阳性的百分比。统计显著性:***P≤0.0001;**P≤0.001;*P≤0.01。NETest,神经内分泌基因转录水平;POD,术后天数。
图8. CgA与手术切除的关系。在四个不同的时间点测量CgA:术前、POD1、POD5和POD30。条形图表示平均值和标准差。统计显著性:***P≤0.001;**P≤0.01。CgA,嗜铬粒蛋白A;POD,术后天数。

图9. CgA变化和手术。在4个不同的时间点CgA阳性(即升高/异常水平)患者百分比:术前、POD1、POD5和POD30。条形图表示评分阳性的百分比。没有统计显著性差异。CgA,嗜铬粒蛋白A;POD,术后天数。
7. 胰腺神经内分泌瘤复发的危险因素以及肿瘤大小在决定治疗策略的作用:一项韩国全国性研究
Risk factors for recurrence in pancreatic neuroendocrine tumor and size as a surrogate in determining the treatment strategy: a Korean nationwide study
Neuroendocrinology [IF=4.271]
发表在《Neuroendocrinology》的一项回顾性研究,旨在基于胰腺神经内分泌瘤(PNET)大队列复发的危险因素,提出一种PNET的治疗方案。
该研究从14个三级转诊中心收集了918例行胰腺神经内分泌肿瘤(PNET)根治性手术的患者数据。进行复发危险因素和生存分析。研究结果显示5年无病生存率(DFS)为86.5%。复发的危险因素包括切缘状态(R1,风险比[HR] 2.438;R2,HR 3.721)、2010年WHO分级(G2级,HR 3.864;G3级,HR 7.352)和N分类(N1,HR 2.273)。单因素分析显示2 cm肿瘤大小与复发显著相关(HR 8.511),而多因素分析显示肿瘤大小不是复发的独立风险因素(P=0.407)。虽然肿瘤大小不是复发的独立风险因素,但很大程度反映了2010年WHO分类和淋巴结(LN)状态。与肿瘤大小>2 cm相比,肿瘤大小≤2 cm的2010年WHO分类较低、LN转移较少(P<0.001),且5年DFS显著延长(77.9% vs 98.2%,P<0.001)。<1 cm和1-2 cm肿瘤的临床病理特征相似。但是,1-2cm大小肿瘤的LN转移率为10.3%,复发率为3.0%。<1cm肿瘤没有发生LN转移或复发。
综上,疑似LN转移或G3 PNET或肿瘤>2 cm时需进行根治性手术。密切监测对于<1 cm的PNETs或许已经足够。1-2 cm大小的肿瘤需要进行局限性手术并进行LN切除,但如果切缘可疑或有LN转移,则应改用根治性手术。
表2. 复发危险因素的单因素和多因素分析

图10. 根据不同的肿瘤大小标准,基于确定的预后因素和肿瘤临床病理特征提出的治疗方案。
Net20121788
北京大学第一医院外科主任医师,教授,博士生导师,美国外科学院会员(FACS)
中华医学会外科学分会胰腺学组副组长
中华医学会外科学分会第十八届委员会委员
中华医学会肿瘤学分会第十一届委员会委员
北京医师学会普通外科专家委员会副主任委员
北京医学会外科学分会常委
北京医学会肿瘤学分会常委
北京大学肝癌诊疗研究中心副主任
中华肝胆外科杂志副主编,国际外科学杂志副主编。中华外科杂志、中华医学杂志、中国实用外科杂志、英国医学杂志中文版(BMJ)、Langenbeck Archives of Surgery等杂志编委。
刘光年博士
2017年毕业于北京大学医学部,同年就职于北京医院普外科,任普外科总住院医师。专业为肝胆胰外科疾病,减重代谢外科等。大华北减重与代谢外科联盟成员,北京医师协会减重与代谢专科医师分会成员,中华肥胖与代谢病电子杂志青年委员。2020年9月至今,师从北京大学第一医院杨尹默教授,研究方向为肝胆胰外科临床与基础。