当前位置:肿瘤瞭望>资讯>正文

宫颈癌根治术:机器人辅助手术PK 开腹手术

作者:肿瘤瞭望   日期:2020/3/18 19:29:16  浏览量:18970

肿瘤瞭望版权所有,谢绝任何形式转载,侵犯版权者必予法律追究。

近些年随着达芬奇机器人辅助技术的兴起,宫颈癌的微创手术治疗有着大步向前迈进的趋势,然而,2018年底发表的两项独立研究的高级别循证医学证据给了微创手术当头一棒,

编者按:近些年随着达芬奇机器人辅助技术的兴起,宫颈癌的微创手术治疗有着大步向前迈进的趋势,然而,2018年底发表的两项独立研究的高级别循证医学证据给了微创手术当头一棒,甚至在2019年的NCCN宫颈癌诊疗指南中把宫颈癌开腹根治性手术作为标准术式推荐,难道宫颈癌微创手术的道路就这样戛然而止。近期中国学者在Gynecologic Oncology发出了自己的声音,笔者将简要编辑,与读者共享。
 
这是一项全国性的、多中心的、回顾性队列研究,共纳入了2004年1月至2016年12月就诊于中国大陆40余家医院的10314例IA1期伴LVS.I至IIA2期宫颈鳞癌、腺癌及腺鳞癌患者,这其中又包括6930例I期患者,982例IB1及肿瘤直径<2 cm患者。其中1048例行机器人辅助的根治性子宫切除术(RRH),9266例行开腹根治性子宫切除术(ARH)。
 
统计数据发现:①ARH组中IB1和IB2期患者比例明显高于RRH组;②RRH组中IIA1和IIA2期患者比例明显高于ARH组;③RRH组中出现LVS.I的比例明显高于ARH组;④ARH组中,患者肿瘤病灶更大,深基质侵犯可能性更大;⑤ARH组中术后切缘情况可能优于RRH组;⑥RRH组中术后行辅助治疗患者的比例更高。(图1)
 
 
 
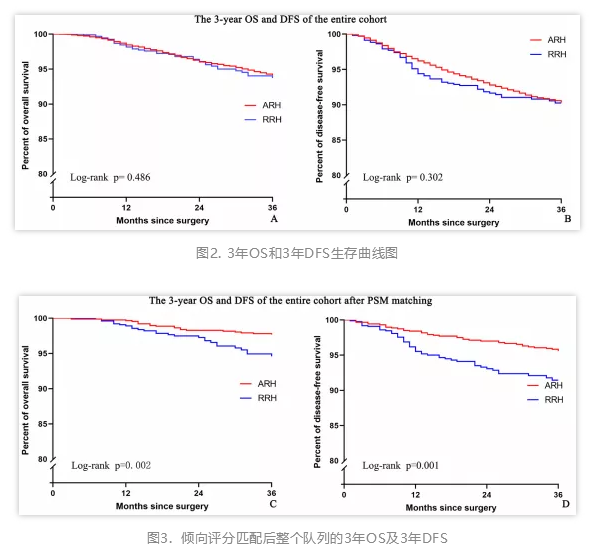
总体而言,ARH组和RRH组患者的3年OS分别为94.1%和93.5%(p=0.486)(图2),通过多变量分析,相比于ARH组患者,RRH与3年OS低无关(HR=1.23,95%CI: 0.89-1.7,P=0.206)。ARH组和RRH组患者的3年DFS分别为90.4%和90%(P=0.302)(图2),然而RRH与3年DFS低有关(HR=1.20,95%CI: 1.09-1.52,P=0.035)。在对数据进行倾向得分匹配后,无论是3年OS还是3年DFS,ARH组均要优于RRH组(图3)。
 
 
在6930例I期患者中,RRH患者的3年OS和3年DFS均差于ARH组(95.7%vs. 98.5%, P=0.011;92.6%vs. 97.7%,P<0.001)(图4),并且RRH均是3年OS和3年DFS的独立预后因素。在982例IB1期及肿瘤直径<2cm患者中,RRH组和ARH组有相类似的3年OS和3年DFS(96.4%vs 98.5%,P=0.174;92.6% vs. 95.2%,P<0.354)(图:5),并且RRH均不是3年OS和3年DFS的独立预后因素。另外结合RRH在术中出血、输血率、淋巴清除数及术后恢复等方面的优势,RRH对IB1期及肿瘤直径<2 cm的宫颈癌患者可能是个更好的选择。
 
 
综上所述,在IA1期伴LVS.I至IIA2期宫颈癌患者中,ARH组患者的3年肿瘤预后明显优于RRH组,但在IB1期及肿瘤直径<2 cm患者中,两者的3年肿瘤预后类似。另外,虽说该研究是多中心性、大样本性研究,研究成果具有足够说服力,但仍不能忽视其中局限性,作者用3年生存率代替5年生存率,随访时间较短,这可能影响其研究成果的实用性。
 
Biliang Chen, Mei Ji, Pengfei Li,et al. Comparison between robot-assisted radical hysterectomy and abdominal radical hysterectomy for cervical cancer: A multicentre retrospective study. https://doi.org/10.1016/j.ygyno.2020.02.019

本内容仅供医学专业人士参考


宫颈癌

分享到: 更多