当前位置:肿瘤瞭望>资讯>正文

文献速递丨一文速览3月发布的重要肺癌文献

作者:  刘丹   日期:2022/4/12 13:53:13  浏览量:17307

肿瘤瞭望版权所有,谢绝任何形式转载,侵犯版权者必予法律追究。

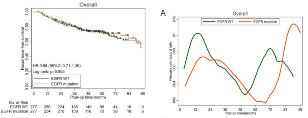
对于接受根治性切除的非小细胞肺癌(NSCLC)患者,EGFR基因突变状态与患者预后的关系一直存在争议。

EGFR基因突变状态与患者复发模式是否相关?
 
对于接受根治性切除的非小细胞肺癌(NSCLC)患者,EGFR基因突变状态与患者预后的关系一直存在争议。近期,来自我国的学者通过一项回顾性研究数据发现,EGFR基因突变状态与患者预后,包括与是否发生脑转移无关,该结果发表于近期的Lung Cancer杂志。
 
 
这项回顾性研究共纳入中国2家研究中心的共计888例接受根治性切除的肺腺癌患者,回顾性收集患者临床病理特点,包括EGFR基因突变状态及复发位置等数据,并基于Kaplan-Meier 法计算患者复发率。
 
结果发现,共计245例(27.6%)患者出现复发,经过数据匹配后发现,EGFR突变型及野生型患者的复发模式,包括脑部复发状态均无差异;多因素发现,EGFR基因突变状态与患者颅脑复发风险无关(HR=0.88, 95%CI 0.54-1.46, P=0.632)。对于携带EGFR基因突变的患者而言,第一个复发高峰在24-26个月,较野生型患者延迟约10个月,第2个复发高峰约滞后于野生型患者2年。
 
患者整体复发风险及复发时间
 
因此,作者认为,EGFR基因突变状态与患者预后及复发,包括颅脑复发无关,但携带EGFR突变的患者复发更晚。
 
JNJ-372治疗EGFR 20外显子插入突变:与真实世界中的疗效比较
 
在单臂CHRYSALIS研究中,JNJ-372治疗携带EGFR第 20外显子插入突变且既往接受过铂类药物治疗的晚期NSCLC患者显示了持久的客观缓解及可管理的安全性。近期,Lung Cancer杂志将该药物与真实世界中的标准治疗数据进行比较,以提供外部对照。
 
 
外部对照数据来自三个数据库:ConcertAI、COTA和Flatiron,核心入排标准与CHRYSALIS研究中的数据类似,除了携带EGFR 20外显子插入突变外,患者既往需要接受至少一种含铂双药治疗,PS<1分。
 
结果显示,两组分别纳入81例和125例患者,基线特点基本相似,两组ORR分别为40%和16%,中位PFS分别为8.3个月和2.9个月,HR=0.47,中位OS分别22.8个月和12.8个月,HR=0.49。
 
JNJ-372与真实世界数据比较
 
因此,作者认为,结合外部对照组数据,携带EGFR 20外显子插入突变的患者,接受JNJ-272治疗可改善患者结局。
 
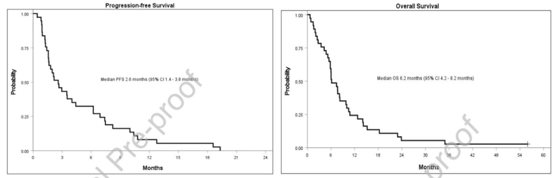
白蛋白紫杉醇联合吉西他滨后线治疗铂类药物耐药的患者
 
对于驱动基因突变阴性的晚期NSCLC患者而言,一旦含铂双药治疗进展,患者后续的治疗选择非常有限。在胰腺癌等其他癌种中,白蛋白紫杉醇联合吉西他滨治疗展示了一定的协同作用。但是近期发表于Clinical Lung Cancer的一项研究发现,这一联合治疗策略并不能给肺癌患者带来获益。
 
 
这项单臂临床研究共纳入37例患者,所有患者均在一线接受含铂双药±免疫治疗。白蛋白紫杉醇剂量为100 mg/m2,吉西他滨剂量为1000 mg/m2,主要研究终点为ORR,次要研究终点为DCR,PFS及OS。
 
所有入组患者的中位年龄为66岁,ORR和DCR分别为13.5%和59.5%,中位PFS仅为2.6个月,中位OS为6.2个月,1年OS率为24%,安全性与耐受性与其他二线治疗数据相似,但是有11%的患者出现2-3级肺炎。
 
全组患者的PFS及OS
 
因此,作者认为,白蛋白紫杉醇联合吉西他滨并未较其他二线标准治疗带来更好的疗效,相反,其较高的肺炎发生率令人担心。
 
参考文献:
 
1、DOI:10.1016/j.lungcan.2022.03.013<https://doi.org/10.1016/j.lungcan.2022.03.013>
 
2、DOI:10.1016/j.lungcan.2022.03.005<https://doi.org/10.1016/j.lungcan.2022.03.005>
 
3、DOI:10.1016/j.cllc.2022.02.004<https://doi.org/10.1016/j.cllc.2022.02.004>

本内容仅供医学专业人士参考


肺癌

分享到: 更多