当前位置:肿瘤瞭望>资讯>正文

1+1<2?这种组合可能需要避免

作者:肿瘤瞭望   日期:2021/12/2 10:25:45  浏览量:14496

肿瘤瞭望版权所有,谢绝任何形式转载,侵犯版权者必予法律追究。

多项前瞻性研究发现,在一代EGFR-TKI的基础上联合贝伐珠单抗可以给患者带来PFS的获益,但是,这一治疗策略在三代药物中似乎行不通。

前言:多项前瞻性研究发现,在一代EGFR-TKI的基础上联合贝伐珠单抗可以给患者带来PFS的获益,但是,这一治疗策略在三代药物中似乎行不通。近期,《肿瘤学年鉴》发表了BOOSTER研究的全部数据,结果发现,在奥希替尼的基础上联合贝伐珠单抗,并不能给患者带来获益。
 
 
研究概况
 
研究背景
 
一代或二代EGFR-TKI是携带EGFR敏感突变患者的一线标准治疗,但患者经过一年左右的PFS后,可因耐药而导致疾病进展。在耐药机制中, T790M突变是最常见的,针对这部分患者,第三代靶向治疗药物奥希替尼是标准的治疗选择。在AURA-3研究中,奥希替尼后线治疗携带T790M突变的患者较原标准含铂双药化疗可改善患者PFS并成为标准治疗,但中位PFS仅为10个月左右,VEGF在肿瘤血管生成中扮演了重要作用,较高的VEGF水平可导致EGFR-TKI的耐药。在临床前试验中,针对VEGF的抗血管生成与EGFR-TKI联合治疗具有协同作用。此外临床研究发现,一代TKI与抗血管生成药物联合应用,可改善患者的PFS。本研究的主要目的是为了探索三代药物奥希替尼联合贝伐珠单抗能否给后线携带T790M突变阳性的患者带来临床获益。
 
研究方法
 
这是一项多中心、II期临床研究,纳入组织病理学确认的III-IV期非鳞、非小细胞肺癌患者,患者携带19del或21L858R突变,接受一代或二代药物治疗后,携带T790M突变,基于组织或外周血检测均可,但入组前最后接受的治疗必须为靶向治疗,PS评分0~2分。有症状的脑转移患者不允许入组。符合入组标准的患者接受奥希替尼80 mg,口服,每日一次,联合贝伐珠单抗15 mg/kg,每三周一次的治疗或奥希替尼单药,80 mg,口服每日一次治疗,直至疾病进展、出现不可耐受毒性反应或患者撤销知情同意。疾病进展后,允许患者继续接受原方案治疗。研究基于种族(亚裔或非亚裔)及T790M检测标本(组织或外周血)进行分层。本研究主要终点为PFS,次要研究终点为OS、ORR、DCR、DOR及中位至治疗失败时间(TTF)。
 
研究结果
 
从2017年5月至2019年2月,共计6个国家22家中心的155例患者入组。两例患者在随机化以后未接受任何治疗,但纳入ITT人群中进行分析。全组患者中位年龄67岁,70%的患者携带19del突变,14%的患者基线有脑转移,15.5%的患者在随机化之前接受含铂双药化疗。两组患者基线特点均衡可比。全组患者中位随访时间33.8个月。
 
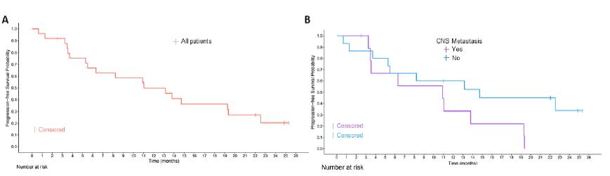
疗效:共计129例患者出现PFS事件,两组1年PFS率分别为60.3%和50.8%。
 
中位PFS在联合治疗组和单药治疗组分别为15.4个月和12.3个月,差异无统计学意义,HR=0.94,P=0.71。亚组分析显示,当前或既往吸烟的患者PFS更优,HR=0.57,而在不吸烟患者中则未观察到这一现象,HR=1.29。
 
图1 两组的PFS数据
 
数据分析时,全组有57.4%的患者出现死亡事件,中位OS分别为20.4个月和24.3个月,差异无统计学意义,HR=1.03,P=0.89。两组ORR均为55%,DCR分别为90%和82%,DOR分别为14.5个月和16.6个月,差异均无统计学意义。两组最常见的新发转移部位均为肺(联合52.8%,单药44.2%),其次为骨(联合8.3%,单药18.6%)。
 
图2 两组中位OS数据
 
安全性:联合治疗组和单药治疗组任何级别治疗相关不良反应(TRAE)发生率分别为96%和87%,3度及以上TRAE发生率分别为47%和18%,并分别导致了25%和4%的患者治疗终止。两组分别有30%和2.6%的患者因不良反应需要进行剂量降低。奥希替尼组有3例患者因不良反应而导致死亡,但在联合治疗组未观察到这一现象。
 
研究结论
 
对于后线携带T790M突变的患者,在奥希替尼的基础上进一步联合贝伐珠单抗,并未改善患者PFS,但3度及以上治疗相关不良反应发生率增高。
 
总结及思考
 
奥希替尼是第一款被批准上市的第三代EGFR-TKI类药物,基于AURA-3及FLAURA研究的数据,奥希替尼成为一线及后线的标准治疗。但是在联合治疗领域,无论是与化疗联合还是与抗血管生成治疗的联合,奥希替尼的联合都遭到重大挫折。
 
WJOG-8715L研究同样探索了奥希替尼与贝伐珠单抗联合后线治疗T790M阳性患者的疗效及安全性,并发表于JAMA Oncology杂志。令人惊讶的是,联合治疗组的疗效更差。在奥希替尼治疗的基础上联合贝伐珠单抗治疗,竟将疾病的进展风险提高了将近1.5倍。这项II期随机对照研究共纳入81例患者,联合治疗组和奥希替尼单药组分别入组40例和41例患者。中位PFS在联合治疗组和单药组分别为9.4个月和13.5个月 (HR 1.44,P=0.20),OS同样无获益,分别为未达到和22.1个月(P=0.96),两组ORR分别为68%和54%,联合治疗组展示了一定的优势。
 
WJOG-8715L研究的PFS
 
除了联合贝伐珠单抗外,联合另外一款抗血管生成治疗药物——雷莫芦单抗效果同样不佳。今年10月,Clinical Cancer Research杂志发表了雷莫芦单抗联合奥希替尼治疗T790M突变的晚期NSCLC患者的I临床研究。基于I期剂量探索,患者后续的给药剂量确定为雷莫芦单抗10mg/kg,每两周给药一次,联合奥希替尼80mg,口服,每日一次。在25例接受标准治疗的患者中,ORR为76%,基线有脑转移和无脑转移的患者,ORR分别为87%和60%,全组患者的中位PFS为11个月,6个月、12个月、24个月的PFS率分别为67%、50%和20%。基线有脑转移和无脑转移的患者,中位PFS分别为14.7个月和10.9个月。
 
奥希替尼联合雷莫芦单抗
 
二线治疗中与抗血管生成治疗的联合未能带来获益,一线与贝伐珠单抗的联合治疗数据同样不理想。今年5月28日在线发表于JAMA Oncology的一项1/2期临床研究则分析了一线贝伐珠单抗与奥希替尼联合的疗效及安全性。这是一项单臂研究,共纳入49例患者,中位PFS仅仅为19.0个月,与FLAURA研究中奥希替尼一线单药18.9个月的PFS基本不存在差异。
 
而在今年ESMO年会上公布的WJOG9717L研究中,一线联合贝伐珠单抗的II期随机对照研究同样是阴性结果。这项研究共纳入122例患者,经过中位19.8个月的随访后,两组的中位PFS分别为22.1个月和20.2个月,未能给患者带来获益。
 
在与化疗联合应用中,奥希替尼与化疗的搭档同样行不通。今年,European Journal of Cancer杂志发表了对于携带继发性T790M突变的患者,在奥希替尼治疗的基础上,进一步联合细胞毒类药物的疗效及安全性。本研究中,共计62例患者接受随机化,两组均入组31例患者,基线特点均衡可比。全组中位随访时间22.7个月,奥希替尼组和联合治疗组中位PFS分别为15.8个月和14.6个月,HR=1.09,P=0.83,中位OS尚不成熟,但是两条曲线紧密交织在一起,并无分开的趋势,HR=2.42,P=0.10。两组ORR分别为71.4%和53.6%,DCR分别为96.4%和89.3%。但是,联合治疗却为患者带来了更大的不良反应。联合治疗组和单药治疗组不良反应发生率较高的分别为中性粒细胞下降(59.6%和9.7%)、贫血(25.8%和0%)以及血小板下降(29%和0%)。两组分别有19.4%和35.5%的患者因治疗相关的不良反应而导致治疗终止。
 
奥希替尼后线与化疗的联合
 
从现有的循证医学证据来看,奥希替尼为基础的联合治疗,无论是一线还是后线,无论是联合化疗还是抗血管生成治疗,均未能给患者带来获益。当然,考虑到这些研究均是I/II期研究,不排除偶然因素的可能,目前几项注册研究,包括FLAURA2研究、NCT03909334及NCT04181060等均在进行中。
 
参考文献:
 
1、DOI:10.1016/j.annonc.2021.11.010
 
2、DOI:10.1158/1078-0432.CCR-20-1690.
 
3、DOI:10.1001/jamaoncol.2020.6758
 
4、DOI: 10.1001/jamaoncol.2020.1260.
 
5、DOI:10.1016/j.ejca.2021.02.019.

本内容仅供医学专业人士参考


贝伐珠单抗

分享到: 更多