编者按:液体活检指通过对血液样品等非固体生物组织的采集,检测生物标志物,对全身进行肿瘤分析。目前,液体活检的生物标志物主要包括循环肿瘤细胞(CTC)、循环肿瘤DNA(ctDNA)、细胞外囊泡(EVs,主要是外泌体)、循环无细胞RNA(cfRNA)、miRNA等。人们对液体活检在肿瘤患者的疾病危险度分层抱有很大的期望。虽然多发性骨髓瘤(MM)具有局灶性分布和易伴发髓外侵犯的特征,但是目前对MM肿瘤负荷的量化评估仍以骨髓为主,因此液体活检在多发性骨髓瘤分层评估中有可能极具特殊的应用价值。在本届EHA年会上,一项研究(大会摘要号:S185)探讨了初诊MM患者外周血CTC负荷在多发性骨髓瘤分层评估中的作用,并定义了适用危险分层的合适界值。本刊特邀空军军医大学西京医院高广勋教授对该项研究进行了精彩点评。
研究方法
研究共纳入375例适合移植的MM患者,入组患者接受6个周期VRD诱导治疗,续贯自体干细胞移植和2个周期VRD巩固治疗。之后,患者接受Rd或者伊沙佐米联合Rd(IRd)方案维持治疗两年。如果MRD阴性,则停止维持治疗,如果MRD阳性,则继续维持治疗3年(GEM2014MAIN)。在整个治疗过程中,使用EuroFlow二代流式技术评估外周血中的CTC和BM的MRD。以PFS为指标采用最大选择Rank检验来定义CTC界值。中位随访时间为5年。
375例患者中有345例(92%)检出CTC。外周血中CTC的百分比与基于形态学(p<0.0001)和流式细胞术(p<0.0001)检测到的骨髓中的肿瘤负荷之间存在一定的相关性(p<0.0001)。但这些数据表明,从骨髓释放到外周血中的CTC与骨髓的肿瘤负荷并不是一一对应的直接相关性。
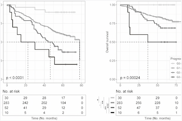
根据CTC的百分比将患者分为4个亚组(组0:0%,组1:>0%至<0.24%,组2:≥0.24%至<2.88%,组3:≥2.88%),结果显示,四组患者的中位PFS分别为未达到[NR]、78个月、47个月和23个月,组0相对于其他三组风险比分别为4.9%、8.8%和15.8%,具有显著统计学差异(p<0.0001)。四组5年OS分别为100%、81%、69%和50%(p=0.0002),具有显著差异。在用包括NGF定量外周血中的肿瘤负荷、形态学和流式细胞术定量的骨髓肿瘤负荷的多变量分析中,只有CTC百分比是能够预测PFS的预后因素(p=0.001)。
在用包括外周血中CTC的百分数、ISS、LDH和FISH检测的细胞遗传学的多变量分析中,CTC的定量仍被确定为与PFS最相关的预后因素。根据先前定义的CTC界值进行的风险度分层,对包括FISH标危患者在内的所有风险组的预后都有预测价值(0和1组的PFS NR对比2组和3组分别为44个月和30个月:P=0.005)。
随后,研究者进一步研究了深度治疗反应是否能够消除诊断时CTC升高带来的不良预后。尽管均获得CR,但第2组和第3组患者的PFS(中位数59个月和48个月)明显低于0组和1组(中位数NR;p=0.004)。相比之下,MRD阴性患者按CTC值分层后的PFS无显著差异(p=0.017)。维持治疗前CTC为0%且MRD阴性的患者,5年时PFS和OS率分别为94%和100%。

外周血中CTC水平是骨髓瘤患者基线评估中最相关的预后因素之一,优于骨髓中肿瘤负荷的量化评估。对于外周血中CTC百分比升高的患者,应将MRD阴性(而不是CR)作为治疗终点。确诊时检测不到CTC和强化治疗后检测不到MRD的患者,在固定周期的维持治疗中显示出长生存优势。
骨髓的危险度分层及疗效评估目前仍以依靠骨髓及单克隆免疫球蛋白等指标来完成,因为MM患者骨髓有局灶性分布的特点,部分患者伴有髓外侵犯,因此基于骨髓的评估存在很大的不足。外周血中ctDNA能否成为初治适合移植患者危险度预后分层和疗效评估的指标,就成为大家关注的焦点问题之一。本课题的研究结果提示,基线评估中,外周血中CTC百分比与骨髓中的肿瘤负荷之间虽存在一定的相关性,但并不直接相关。在预后评估方面,外周血CTC优于骨髓肿瘤负荷、ISS、LDH和细胞遗传学等相关预后因素。在治疗深度方面,即使获得CR患者,不同CTC患者PFS存在差异,但MRD阴性患者按CTC值分层后的PFS无显著差异。因此提示,外周血CTC有可能成为MM患者重要的预后因素之一,治疗后追求MRD阴性有可能逆转初诊CTC阳性带来的不良预后。
第四军医大学(空军军医大学)附属西京医院血液内科主任,副主任医师、副教授,研究生导师。任全军血液学会青年委员会副主任委员、陕西省医学会血液学会青委副主任委员、中华医学会血液专业委员会实验诊断学组委员等职,现任陕西省保健委专家、国家药物临床试验基地(西京医院)血液专业组组长。主要从事造血系统肿瘤生物学及靶向治疗等相关研究。发表SCI论文20余篇,出版专著3部,获得国家自然科学基金、陕西省自然科学基金、陕西省社发攻关重点产业链(群)项目等多项。?