当前位置:肿瘤瞭望>资讯>正文

文献速递 | JAMA:治疗未施,预测先行? 头颈癌患者在放疗和顺铂化疗后听力损失的预测研究

作者:肿瘤瞭望   日期:2019/12/26 10:46:16  浏览量:19496

肿瘤瞭望版权所有,谢绝任何形式转载,侵犯版权者必予法律追究。

头颈癌患者在进行治疗之前,进行准确易行的听力损失预测对于治疗方案的选择是重要信息,这关乎患者的生活质量(QoL)。

编者按: 头颈癌患者在进行治疗之前,进行准确易行的听力损失预测对于治疗方案的选择是重要信息,这关乎患者的生活质量(QoL)。最近,有研究人员针对头颈癌患者开发了一种预测放疗后和/或者顺铂化疗后预测听力损失的模型,而该研究结果发表在近期的JAMA杂志上,《肿瘤瞭望》特将该研究整理如下,以供读者参考。
 
研究目的
 
该研究旨在为头颈癌患者建立顺铂化疗或放射治疗后的听力损失预测模型。
 
研究方法
 
2014年10月1日至2018年7月31日之间,该回顾性队列研究共纳入了242例头颈癌患者(共484只耳朵),其中女性56例,男性186例,平均年龄为60岁。所有患者均接受放射治疗,耳朵接受的平均耳蜗放射剂量为15 Gy,此外有105例患者接受过顺铂化疗,平均的顺铂总累积剂量为298 mg/m2。
 
在完成治疗后,采用纯音测听法(pure-tone audiometry,PTA)的1000 Hz、2000 Hz及4000 Hz这三个频率来检测患者的听力损失。而多变量固定预测模型可以根据患者信息在治疗开始前便为临床医生提供治疗后的听力损失预测。

研究结果
 
基线水平时,在1000、2000和4000 Hz 频率的听力损失平均值为为25分贝(dB)。而在治疗后,患者的平均听力损失增加到30 dB。其中,有103只耳朵的听力损失较极限水平增加了10 dB以上;36例患者的双耳均有10 dB以上的听力损失;31例患者的单耳有10 dB以上听力损失;另外175只耳朵没有出现10 db以上的听力损失。
 
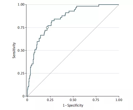
将固定预测模型与治疗后纯音听力结果进行交叉验证发现, 固定预测模型的预测效果与治疗后纯音听力变化的一致度达到了77%(95%CI:73%~81%)。并且,对于听力损失≥35 dB的患者而言,该预测模型的敏感度与特异度分别可达80%(详见图1)和75%。预测结果与观察值之间的这种相关性在治疗后纯音测听法(PTA)预测模型的校准曲线中再次得到证实(详见图2)。
 
图1. 对于听力损失≥35 dB的患者而言,该预测模型的敏感度与特异度分别可达80%
 
图2. 该预测模型的精准性得到校准曲线的验证
 
本研究还分析了听力损失的影响因素,主要包括以下:①首先,顺铂总累积剂量与治疗后听力损失的增加密切相关,顺铂浓度每增加100 mg/m2,听力损失增加2.92 dB(95%CI:2.34~3.51 dB/每增加100 mg/m2)。 ②其次,耳蜗接受的平均放射治疗剂量也与听力损失存在相关性,耳蜗平均放射剂量每增加10 Gy,听力损失则增加0.92 dB(95%CI:0.33~1.50 dB/每增加10 Gy)。③年龄因素也与治疗后听力损失相关,年龄较大的患者和听力较好的患者在治疗后也更有可能出现听力损失。
 
研究讨论
 
本研究首次建立了头颈癌患者治疗后听力的精确预测模型,在开始治疗前,该预测模型为头颈癌患者治疗后听力的预测提供了一种有效的方法。此外,本研究还证实了顺铂化疗、放疗治疗导致的耳蜗暴露及颅脑损伤与患者的听力损失有明确相关性。
 
在这项研究中,结果表明患者年龄、基础听力值、顺铂剂量,耳蜗接受的放射治疗剂量等因素与患者治疗后听力损失密切相关。其中,顺铂化疗对头颈癌患者治疗后的听力损失危害最大。
 
参考文献
Schuette A ,Lander DP , et al. Predicting Hearing Loss After Radiotherapy and Cisplatin Chemotherapy in Patients With Head and Neck Cancer.JAMA Otolaryngol Head Neck Surg.2019 Nov 21. doi: 10.1001/jamaoto.

本内容仅供医学专业人士参考


头颈癌

分享到: 更多